Journal of Computer Applications ›› 2026, Vol. 46 ›› Issue (1): 242-251.DOI: 10.11772/j.issn.1001-9081.2025010058

• Multimedia computing and computer simulation • Previous Articles     Next Articles

Domain-adaptive nighttime object detection method with photometric alignment

Yu SANG1,2(), Tong GONG1, Chen ZHAO3, Bowen YU1, Siman LI1   

  1. 1.School of Electronics and Information Engineering,Liaoning Technical University,Huludao Liaoning 125105,China
    2.Liaoning Key Laboratory of Radio Frequency and Big Data for Intelligent Applications (Liaoning Technical University),Huludao Liaoning 125105,China
    3.Technical Support Center,Xinjiang Air Traffic Control Bureau,Urumqi Xinjiang 830013,China
  • Received:2025-01-15 Revised:2025-03-31 Accepted:2025-03-31 Online:2026-01-10 Published:2026-01-10
  • Contact: Yu SANG
  • About author:GONG Tong, born in 2000, M. S. candidate. His research interests include cross-domain object detection, semantic segmentation.
    ZHAO Chen, born in 1999, M. S. His research interests include artificial intelligence, computer vision.
    YU Bowen, born in 2000, M. S. candidate. Her research interests include artificial intelligence, image processing.
    LI Siman, born in 2000, M. S. candidate. Her research interests include artificial intelligence, computer vision.
  • Supported by:
    National Natural Science Foundation of China(61602226);Research Fund of Department of Education of Liaoning Province(LJKQZ2021152);University Talent Introduction Fund(18-1021)

具有光度对齐的域适应夜间目标检测方法

桑雨1,2(), 贡同1, 赵琛3, 于博文1, 李思漫1   

  1. 1.辽宁工程技术大学 电子与信息工程学院,辽宁 葫芦岛 125105
    2.辽宁省无线射频大数据智能应用重点实验室(辽宁工程技术大学),辽宁 葫芦岛 125105
    3.民航新疆空中交通管理局 技术保障中心,乌鲁木齐 830013
  • 通讯作者: 桑雨
  • 作者简介:贡同(2000—),男,安徽芜湖人,硕士研究生,主要研究方向:跨域目标检测、语义分割
    赵琛(1999—),男,甘肃定西人,硕士,主要研究方向:人工智能、计算机视觉
    于博文(2000—),女,辽宁大连人,硕士研究生,主要研究方向:人工智能、图像处理
    李思漫(2000—),女,辽宁阜新人,硕士研究生,主要研究方向:人工智能、计算机视觉。
  • 基金资助:
    国家自然科学基金资助项目(61602226);辽宁省教育厅科研基金资助项目(LJKQZ2021152);高校人才引进基金资助项目(18-1021)

Abstract:

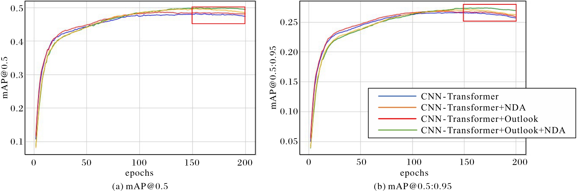
Nighttime object detection faces numerous challenges compared to daytime object detection, due to low-light conditions and the scarcity of high-quality labeled data, which hinder feature extraction and degrade detection accuracy. Therefore, a domain-adaptive object detection method for nighttime images was proposed. Firstly, a nighttime domain-adaptive photometric alignment module was designed to convert a labeled daytime source domain image into a corresponding nighttime target domain image, that is bridging the gap between source and target domains through photometric alignment, thereby solving the problem of difficulty in obtaining accurate nighttime object labels under low-light conditions. Secondly, a hybrid CNN-Transformer model was used as a detector, in which using CSwin Transformer was used as a backbone network to extract multi-level image features and these features were input into a feature pyramid network, thus enhancing the model's capability for multi-scale object detection. Finally, the Outlook attention module was introduced to address the loss of image details caused by insufficient lighting, thereby enhancing the model's robustness under varying lighting conditions, shadows, and other complex environments. Experimental results demonstrate that the proposed method achieves the mean Average Precision (mAP) @0.5 of 50.0% on the public dataset BDD100K, which is improved by 4.2 percentage points compared to 2PCNet (two-Phase Consistency Network) method; and the mAP@0.5 reached 45.4% on the public dataset SODA10M, which is improved by 0.9 percentage points compared to SFA (Sequence Feature Alignment) method.

Key words: object detection, domain adaptation, photometric alignment, CNN-Transformer

摘要:

夜间目标检测受限于低光照条件和高质量标注数据的匮乏,目标特征提取困难,目标检测精度不高。因此,提出一种具有光度对齐的域适应夜间目标检测方法。首先,设计一种夜间域适应光度对齐模块,将有标记的白天源域图像转换为对应的夜间目标域图像,即通过光度对齐弥合源域与目标域之间的差距,解决低光照条件下难以获取准确夜间目标注释的问题;其次,采用CNN-Transformer混合模型作为检测器,即以CSwin Transformer作为主干网络提取多层次的图像特征,并将提取特征输入特征金字塔网络中,提升模型对多尺度目标的检测能力;最后,引入Outlook注意力解决光照不足导致的图像细节不明显问题,提升模型在光照变化和阴影等复杂环境下的鲁棒性。实验结果表明,在公共数据集BDD100K上,所提方法的平均精度均值(mAP)@0.5达到了50.0%,比2PCNet (two-Phase Consistency Network)方法提高4.2个百分点;在公共数据集SODA10M上,所提方法的mAP@0.5达到了45.4%,比SFA (Sequence Feature Alignment)方法提高0.9个百分点。

关键词: 目标检测, 域适应, 光度对齐, CNN-Transformer

CLC Number: