《计算机应用》唯一官方网站 ›› 2024, Vol. 44 ›› Issue (4): 1242-1247.DOI: 10.11772/j.issn.1001-9081.2023050561

所属专题: 网络与通信

• 网络与通信 • 上一篇    下一篇

面向用户需求的低轨卫星资源分配算法

陈发堂, 黄淼, 金宇峰   

  1. 重庆邮电大学 通信与信息工程学院,重庆 400065
  • 收稿日期:2023-05-09 修回日期:2023-07-01 接受日期:2023-07-09 发布日期:2023-08-01 出版日期:2024-04-10
  • 通讯作者: 黄淼
  • 作者简介:陈发堂(1965—),男,重庆人,研究员,硕士,主要研究方向:无线通信物理层算法
    黄淼(1998—),男,四川达州人,硕士研究生,主要研究方向:低轨卫星无线资源分配、移动通信MAC层资源调度 S210101054@stu.cqupt.edu.cn
    金宇峰(1999—),男,湖北荆州人,硕士研究生,主要研究方向:低轨卫星边缘计算与卸载。
  • 基金资助:
    重庆市自然科学基金资助项目(cstc2021jcyj?msxmX0454)

Resource allocation algorithm for low earth orbit satellites oriented to user demand

Fatang CHEN, Miao HUANG, Yufeng JIN   

  1. School of Communications and Information Engineering,Chongqing University of Posts and Telecommunications,Chongqing 400065,China
  • Received:2023-05-09 Revised:2023-07-01 Accepted:2023-07-09 Online:2023-08-01 Published:2024-04-10
  • Contact: Miao HUANG
  • About author:CHEN Fatang, born in 1965, M. S., research fellow. His research interests include physical layer algorithm of wireless communication.
    HUANG Miao, born in 1998, M. S. candidate. His research interests include radio resource allocation of LEO satellite, resource scheduling of mobile communication MAC layer.
    JIN Yufeng, born in 1999, M. S. candidate. His research interests include edge calculation and unloading of LEO satellite.
  • Supported by:
    Chongqing Natural Science Foundation(cstc2021jcyj-msxmX0454)

摘要:

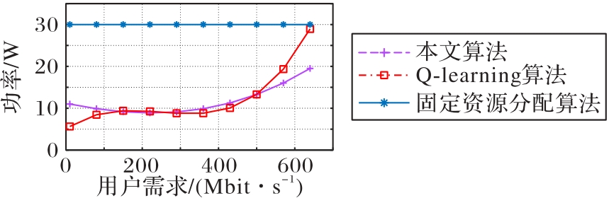
低轨(LEO)卫星多波束通信场景下,传统固定资源分配算法无法满足不同用户对信道容量的差异需求。以适应用户需求分配为主要目标,建立联合信道分配、带宽分配和功率分配的最小供需差优化模型,并引入图样分割多址接入技术(PDMA)提升信道资源的利用率。针对该模型的非凸特性,通过Q-learning算法学习资源分配最优策略为每个用户分配适合的信道容量,并引入奖励阈值进一步改进算法,加快算法的收敛,且使算法达到收敛时供需差异更小。仿真结果表明,改进后的算法收敛速度约是改进前的3.33倍:改进算法能满足更大的用户需求,比改进前Q-learning算法提升14%,是传统固定算法的2.14倍。

关键词: 低轨卫星, 多波束, 资源分配, 强化学习, 图样分割多址接入

Abstract:

In Low Earth orbit (LEO)satellite multi-beam communication scenario, the traditional fixed resource allocation algorithm can not meet the differences in channel capacity requirements of different users. In order to meet the requirements of users, the optimization model of minimum supply-demand difference of combining channel allocation, bandwidth allocation and power allocation was established, and Pattern Division Multiple Access technology (PDMA)was introduced to improve the utilization of channel resources. In view of the non-convex characteristic of the model, the optimal resource allocation strategy learned by the Q-learning algorithm was used to allocate the channel capacity suitable for each user, and a reward threshold was introduced to further improve the algorithm, speeding up the convergence and minimizing the difference between supply and demand when the algorithm converged. The simulation results show that the convergence speed of the improved algorithm is about 3.33 times that before improvement; the improved algorithm can meet larger user requirement, about 14% higher than the Q-learning algorithm before improvement, about 2.14 times that of the traditional fixed algorithm.

Key words: Low Earth Orbit (LEO) satellite, multi-beam, resource allocation, reinforcement learning, Pattern Division Multiple Access (PDMA)

中图分类号: