《计算机应用》唯一官方网站 ›› 2025, Vol. 45 ›› Issue (10): 3203-3213.DOI: 10.11772/j.issn.1001-9081.2024091314
• 数据科学与技术 • 上一篇
收稿日期:2024-09-14
修回日期:2024-12-03
接受日期:2024-12-09
发布日期:2025-01-14
出版日期:2025-10-10
通讯作者:
刘栋
作者简介:吕乐(2000—),男,河南驻马店人,硕士研究生,主要研究方向:社会网络分析基金资助:
Le LYU1, Bohan ZHANG2, Junchang JING3, Dong LIU1,2,3(
)
Received:2024-09-14
Revised:2024-12-03
Accepted:2024-12-09
Online:2025-01-14
Published:2025-10-10
Contact:
Dong LIU
About author:LYU Le, born in 2000, M. S. candidate. His research interests include social network analysis.Supported by:摘要:
社区检测尽管能深度揭示网络潜在的结构特征和节点之间的关系,但也产生了隐私泄露问题。社区隐藏方法能够有效对抗社区检测算法,从而实现网络节点信息的隐私保护。然而,传统的社区隐藏方法大多关注网络中的单一目标或单一社区的隐私保护,缺乏一种能够针对任意目标集合进行隐藏的方法。针对上述问题,提出一种持久性损失最大化的多目标节点隐藏(BPMNH)方法。该方法可以自由配置拟隐藏的目标节点集合,并根据网络规模自适应地给出持久性损失最大化方案,从而在最小的网络拓扑扰动代价下,实现不同社区的多个目标节点隐藏。在Karate等8个数据集上,从隐藏效果、网络结构和综合欺骗效果方面与基于模块度的攻击(MBA)等3种基线方法进行对比,实验结果表明BPMNH在多目节点隐藏上均优于对比方法,验证了所提方法的优越性。
中图分类号:
吕乐, 张博瀚, 荆军昌, 刘栋. 基于持久性的多目标节点隐藏方法[J]. 计算机应用, 2025, 45(10): 3203-3213.
Le LYU, Bohan ZHANG, Junchang JING, Dong LIU. Multi-target node hiding method based on permanence[J]. Journal of Computer Applications, 2025, 45(10): 3203-3213.
| 数据集 | 节点数 | 边数 | 数据集描述 |
|---|---|---|---|
| Karate | 34 | 78 | 空手道网络 |
| Dolphins | 62 | 159 | 海豚社交网络 |
| Polbooks | 105 | 441 | 美国政治书籍网络 |
| Football | 115 | 616 | 足球网络 |
| Email-univ | 1 133 | 5 451 | 大学邮件网络 |
| Power | 4 941 | 6 594 | 美国电网 |
| Oregon-1 | 10 670 | 22 002 | 自治系统对等信息网络 |
| Tech-pgp | 10 680 | 24 316 | 安全信息交换网络 |
表1 实验数据集详情
Tab. 1 Details of experimental datasets
| 数据集 | 节点数 | 边数 | 数据集描述 |
|---|---|---|---|
| Karate | 34 | 78 | 空手道网络 |
| Dolphins | 62 | 159 | 海豚社交网络 |
| Polbooks | 105 | 441 | 美国政治书籍网络 |
| Football | 115 | 616 | 足球网络 |
| Email-univ | 1 133 | 5 451 | 大学邮件网络 |
| Power | 4 941 | 6 594 | 美国电网 |
| Oregon-1 | 10 670 | 22 002 | 自治系统对等信息网络 |
| Tech-pgp | 10 680 | 24 316 | 安全信息交换网络 |
| 检测方法 | Karate数据集上的异化率 | |||||||||||||||
|---|---|---|---|---|---|---|---|---|---|---|---|---|---|---|---|---|
| 5%预算 | 10%预算 | 15%预算 | 20%预算 | |||||||||||||
| MBA | nDec | CH-SNMF | BPMNH | MBA | nDec | CH-SNMF | BPMNH | MBA | nDec | CH-SNMF | BPMNH | MBA | nDec | CH-SNMF | BPMNH | |
| Lou | 5.0 | 11.1 | 11.1 | 3.3 | 6.7 | 22.2 | 11.1 | 26.7 | 13.3 | 11.1 | 33.3 | 33.3 | 33.3 | 11.1 | 33.3 | 33.3 |
| Lei | 0.0 | 66.7 | 0.0 | 0.0 | 6.7 | 33.3 | 66.7 | 33.3 | 25.0 | 66.7 | 66.6 | 33.3 | 43.3 | 66.7 | 66.7 | 33.3 |
| Inf | 0.0 | 0.0 | 0.0 | 0.0 | 1.7 | 0.0 | 0.0 | 0.0 | 11.7 | 0.0 | 0.0 | 33.3 | 20.0 | 33.3 | 66.7 | 100.0 |
| Lab | 13.3 | 0.0 | 0.0 | 33.3 | 16.7 | 0.0 | 33.3 | 33.3 | 31.7 | 0.0 | 33.3 | 33.3 | 30.0 | 0.0 | 33.3 | 33.3 |
| Walk | 3.3 | 0.0 | 0.0 | 0.0 | 3.3 | 0.0 | 0.0 | 66.7 | 11.7 | 0.0 | 66.7 | 66.7 | 41.7 | 100.0 | 66.7 | 66.7 |
| Fast | 3.3 | 0.0 | 0.0 | 0.0 | 20.0 | 33.3 | 0.0 | 33.3 | 25.0 | 33.3 | 33.3 | 66.7 | 40.0 | 66.7 | 0.0 | 33.3 |
| 平均值 | 4.2 | 13.0 | 1.9 | 6.1 | 9.2 | 14.8 | 18.5 | 32.2 | 19.7 | 18.5 | 38.9 | 44.4 | 34.7 | 46.3 | 44.4 | 50.0 |
| 检测方法 | Polbooks数据集上的异化率 | |||||||||||||||
| 5%预算 | 10%预算 | 15%预算 | 20%预算 | |||||||||||||
| MBA | nDec | CH-SNMF | BPMNH | MBA | nDec | CH-SNMF | BPMNH | MBA | nDec | CH-SNMF | BPMNH | MBA | nDec | CH-SNMF | BPMNH | |
| Lou | 1.0 | 0.0 | 6.7 | 15.0 | 13.5 | 33.3 | 33.3 | 15.0 | 16.5 | 20.0 | 26.7 | 34.0 | 36.5 | 36.7 | 56.7 | 57.0 |
| Lei | 3.5 | 0.0 | 0.0 | 0.0 | 7.0 | 0.0 | 0.0 | 20.0 | 34.5 | 20.0 | 0.0 | 50.0 | 40.5 | 20.0 | 70.0 | 80.0 |
| Inf | 0.0 | 0.0 | 0.0 | 0.0 | 1.0 | 0.0 | 10.0 | 0.0 | 4.0 | 0.0 | 0.0 | 10.0 | 5.5 | 0.0 | 40.0 | 30.0 |
| Lab | 8.0 | 0.0 | 0.0 | 0.0 | 9.0 | 0.0 | 0.0 | 50.0 | 10.5 | 0.0 | 0.0 | 0.0 | 25.0 | 0.0 | 20.0 | 50.0 |
| Walk | 0.5 | 10.0 | 0.0 | 0.0 | 2.0 | 10.0 | 0.0 | 10.0 | 2.0 | 0.0 | 0.0 | 10.0 | 9.0 | 10.0 | 0.0 | 30.0 |
| Fast | 1.0 | 0.0 | 20.0 | 20.0 | 1.0 | 0.0 | 0.0 | 10.0 | 8.5 | 0.0 | 0.0 | 40.0 | 12.5 | 0.0 | 0.0 | 40.0 |
| 平均值 | 2.3 | 1.7 | 4.4 | 5.8 | 5.6 | 7.2 | 7.2 | 17.5 | 12.7 | 6.7 | 4.4 | 24.0 | 21.5 | 11.1 | 31.1 | 47.8 |
| 检测方法 | Football数据集上的异化率 | |||||||||||||||
| 5%预算 | 10%预算 | 15%预算 | 20%预算 | |||||||||||||
| MBA | nDec | CH-SNMF | BPMNH | MBA | nDec | CH-SNMF | BPMNH | MBA | nDec | CH-SNMF | BPMNH | MBA | nDec | CH-SNMF | BPMNH | |
| Lou | 3.6 | 18.2 | 16.7 | 16.4 | 7.7 | 39.4 | 16.7 | 63.6 | 32.7 | 100.0 | 33.3 | 90.9 | 74.1 | 100.0 | 61.1 | 100.0 |
| Lei | 6.4 | 9.1 | 0.0 | 0.0 | 11.4 | 45.5 | 16.7 | 54.5 | 36.8 | 81.8 | 33.3 | 90.9 | 68.2 | 100.0 | 33.3 | 100.0 |
| Inf | 27.3 | 27.3 | 33.3 | 27.3 | 35.5 | 54.5 | 50.0 | 72.7 | 48.2 | 100.0 | 33.3 | 72.7 | 76.4 | 100.0 | 50.0 | 81.8 |
| Lab | 23.2 | 9.1 | 33.3 | 27.3 | 47.3 | 54.5 | 33.3 | 81.8 | 64.1 | 90.9 | 33.3 | 72.7 | 86.8 | 100.0 | 50.0 | 81.8 |
| Walk | 5.5 | 9.1 | 0.0 | 0.0 | 25.0 | 63.6 | 50.0 | 45.5 | 66.4 | 100.0 | 50.0 | 81.8 | 80.5 | 100.0 | 66.7 | 90.9 |
| Fast | 41.8 | 45.5 | 33.3 | 54.5 | 48.6 | 63.6 | 33.3 | 63.6 | 56.8 | 90.9 | 66.7 | 100.0 | 72.7 | 90.9 | 66.7 | 72.7 |
| 平均值 | 18.0 | 19.7 | 19.4 | 20.9 | 29.2 | 53.5 | 33.3 | 63.6 | 50.8 | 93.9 | 41.7 | 84.8 | 76.4 | 98.5 | 54.6 | 87.9 |
| 检测方法 | Dolphins数据集上的异化率 | |||||||||||||||
| 5%预算 | 10%预算 | 15%预算 | 20%预算 | |||||||||||||
| MBA | nDec | CH-SNMF | BPMNH | MBA | nDec | CH-SNMF | BPMNH | MBA | nDec | CH-SNMF | BPMNH | MBA | nDec | CH-SNMF | BPMNH | |
| Lou | 3.3 | 0.0 | 16.7 | 3.3 | 8.3 | 0.0 | 16.7 | 33.3 | 15.8 | 5.6 | 38.9 | 35.0 | 34.2 | 5.6 | 61.1 | 61.7 |
| Lei | 0.8 | 0.0 | 0.0 | 0.0 | 14.2 | 0.0 | 16.7 | 33.3 | 23.3 | 0.0 | 33.3 | 28.3 | 45.8 | 33.3 | 33.3 | 66.7 |
| Inf | 5.8 | 0.0 | 0.0 | 50.0 | 15.8 | 50.0 | 50.0 | 16.7 | 37.5 | 66.7 | 33.3 | 50.0 | 46.7 | 16.7 | 50.0 | 66.7 |
| Lab | 20.8 | 16.7 | 33.3 | 16.7 | 27.5 | 50.0 | 33.3 | 33.3 | 34.2 | 50.0 | 33.3 | 33.3 | 40.0 | 50.0 | 50.0 | 66.7 |
| Walk | 8.3 | 16.7 | 0.0 | 0.0 | 8.3 | 0.0 | 50.0 | 50.0 | 43.3 | 16.7 | 50.0 | 50.0 | 39.2 | 16.7 | 66.7 | 16.6 |
| Fast | 13.3 | 16.7 | 33.3 | 16.7 | 20.8 | 16.7 | 33.3 | 33.3 | 35.0 | 0.0 | 66.7 | 50.0 | 46.7 | 50.0 | 66.7 | 50.0 |
| 平均值 | 8.7 | 8.3 | 13.9 | 14.4 | 15.8 | 19.4 | 33.3 | 33.3 | 31.5 | 23.1 | 42.6 | 41.1 | 42.1 | 28.7 | 54.6 | 54.7 |
| 检测方法 | Email-univ数据集上的异化率 | |||||||||||||||
| 5%预算 | 10%预算 | 15%预算 | 20%预算 | |||||||||||||
| MBA | nDec | CH-SNMF | BPMNH | MBA | nDec | CH-SNMF | BPMNH | MBA | nDec | CH-SNMF | BPMNH | MBA | nDec | CH-SNMF | BPMNH | |
| Lou | 30.3 | 20.9 | 17.7 | 25.0 | 25.3 | 38.9 | 28.3 | 39.0 | 27.6 | 46.9 | 34.5 | 47.0 | 41.8 | 51.6 | 36.6 | 58.7 |
| Lei | 14.9 | 28.3 | 18.6 | 22.6 | 18.9 | 41.6 | 22.1 | 32.7 | 25.7 | 38.9 | 29.2 | 38.9 | 29.4 | 42.5 | 29.2 | 42.9 |
| Inf | 27.1 | 31.9 | 24.8 | 34.5 | 31.7 | 53.1 | 29.2 | 40.7 | 38.2 | 58.4 | 38.1 | 72.6 | 49.7 | 76.1 | 43.4 | 61.1 |
| Lab | 37.3 | 23.9 | 19.5 | 48.7 | 44.8 | 46.9 | 48.7 | 48.7 | 49.7 | 46.9 | 48.7 | 48.7 | 48.7 | 46.0 | 47.8 | 48.7 |
| Walk | 9.7 | 15.0 | 7.1 | 10.6 | 21.8 | 23.0 | 10.6 | 17.7 | 21.1 | 35.4 | 21.2 | 30.1 | 39.1 | 49.6 | 21.2 | 29.2 |
| Fast | 42.1 | 44.2 | 46.0 | 42.5 | 41.4 | 46.0 | 23.9 | 44.2 | 43.5 | 39.8 | 30.1 | 45.1 | 44.2 | 44.2 | 35.4 | 48.7 |
| 平均值 | 26.9 | 27.4 | 22.3 | 30.6 | 30.6 | 41.6 | 27.1 | 37.2 | 34.3 | 44.4 | 33.6 | 47.1 | 42.1 | 51.7 | 35.6 | 48.2 |
| 检测方法 | Tech-pgp数据集上的异化率 | |||||||||||||||
| 5%预算 | 10%预算 | 15%预算 | 20%预算 | |||||||||||||
| MBA | nDec | CH-SNMF | BPMNH | MBA | nDec | CH-SNMF | BPMNH | MBA | nDec | CH-SNMF | BPMNH | MBA | nDec | CH-SNMF | BPMNH | |
| Lou | 16.5 | 15.7 | 21.4 | 22.8 | 20.7 | 17.5 | 26.6 | 29.7 | 23.4 | 18.4 | 31.5 | 33.9 | 26.0 | 24.8 | 37.3 | 39.0 |
| Lei | 14.0 | 10.3 | 17.4 | 17.4 | 16.3 | 13.1 | 23.1 | 29.5 | 17.7 | 19.6 | 29.7 | 29.5 | 18.0 | 24.3 | 32.6 | 33.9 |
| Inf | 23.9 | 78.6 | 78.6 | 78.3 | 23.9 | 78.5 | 28.4 | 78.6 | 37.4 | 78.3 | 58.9 | 56.3 | 78.7 | 28.5 | 69.5 | 61.0 |
| Lab | 16.6 | 25.4 | 14.1 | 21.2 | 14.3 | 27.6 | 25.6 | 24.6 | 14.7 | 38.3 | 19.0 | 26.5 | 15.4 | 36.5 | 25.7 | 42.3 |
| Walk | 18.7 | 23.2 | 17.9 | 16.4 | 20.3 | 17.8 | 24.9 | 23.8 | 25.1 | 23.5 | 29.2 | 29.5 | 23.2 | 29.6 | 32.5 | 33.5 |
| Fast | 8.6 | 18.9 | 23.9 | 31.1 | 25.0 | 26.3 | 44.2 | 36.7 | 27.7 | 24.5 | 39.7 | 43.5 | 27.2 | 33.1 | 46.1 | 45.1 |
| 平均值 | 16.4 | 28.7 | 28.9 | 31.2 | 20.1 | 30.1 | 28.8 | 37.1 | 24.3 | 33.8 | 34.7 | 36.5 | 31.4 | 29.4 | 40.6 | 42.5 |
表2 10%节点的异化率(大规模多目标节点隐藏) (%)
Tab. 2 Alienation rates of 10% nodes (large-scale multi-target node hiding)
| 检测方法 | Karate数据集上的异化率 | |||||||||||||||
|---|---|---|---|---|---|---|---|---|---|---|---|---|---|---|---|---|
| 5%预算 | 10%预算 | 15%预算 | 20%预算 | |||||||||||||
| MBA | nDec | CH-SNMF | BPMNH | MBA | nDec | CH-SNMF | BPMNH | MBA | nDec | CH-SNMF | BPMNH | MBA | nDec | CH-SNMF | BPMNH | |
| Lou | 5.0 | 11.1 | 11.1 | 3.3 | 6.7 | 22.2 | 11.1 | 26.7 | 13.3 | 11.1 | 33.3 | 33.3 | 33.3 | 11.1 | 33.3 | 33.3 |
| Lei | 0.0 | 66.7 | 0.0 | 0.0 | 6.7 | 33.3 | 66.7 | 33.3 | 25.0 | 66.7 | 66.6 | 33.3 | 43.3 | 66.7 | 66.7 | 33.3 |
| Inf | 0.0 | 0.0 | 0.0 | 0.0 | 1.7 | 0.0 | 0.0 | 0.0 | 11.7 | 0.0 | 0.0 | 33.3 | 20.0 | 33.3 | 66.7 | 100.0 |
| Lab | 13.3 | 0.0 | 0.0 | 33.3 | 16.7 | 0.0 | 33.3 | 33.3 | 31.7 | 0.0 | 33.3 | 33.3 | 30.0 | 0.0 | 33.3 | 33.3 |
| Walk | 3.3 | 0.0 | 0.0 | 0.0 | 3.3 | 0.0 | 0.0 | 66.7 | 11.7 | 0.0 | 66.7 | 66.7 | 41.7 | 100.0 | 66.7 | 66.7 |
| Fast | 3.3 | 0.0 | 0.0 | 0.0 | 20.0 | 33.3 | 0.0 | 33.3 | 25.0 | 33.3 | 33.3 | 66.7 | 40.0 | 66.7 | 0.0 | 33.3 |
| 平均值 | 4.2 | 13.0 | 1.9 | 6.1 | 9.2 | 14.8 | 18.5 | 32.2 | 19.7 | 18.5 | 38.9 | 44.4 | 34.7 | 46.3 | 44.4 | 50.0 |
| 检测方法 | Polbooks数据集上的异化率 | |||||||||||||||
| 5%预算 | 10%预算 | 15%预算 | 20%预算 | |||||||||||||
| MBA | nDec | CH-SNMF | BPMNH | MBA | nDec | CH-SNMF | BPMNH | MBA | nDec | CH-SNMF | BPMNH | MBA | nDec | CH-SNMF | BPMNH | |
| Lou | 1.0 | 0.0 | 6.7 | 15.0 | 13.5 | 33.3 | 33.3 | 15.0 | 16.5 | 20.0 | 26.7 | 34.0 | 36.5 | 36.7 | 56.7 | 57.0 |
| Lei | 3.5 | 0.0 | 0.0 | 0.0 | 7.0 | 0.0 | 0.0 | 20.0 | 34.5 | 20.0 | 0.0 | 50.0 | 40.5 | 20.0 | 70.0 | 80.0 |
| Inf | 0.0 | 0.0 | 0.0 | 0.0 | 1.0 | 0.0 | 10.0 | 0.0 | 4.0 | 0.0 | 0.0 | 10.0 | 5.5 | 0.0 | 40.0 | 30.0 |
| Lab | 8.0 | 0.0 | 0.0 | 0.0 | 9.0 | 0.0 | 0.0 | 50.0 | 10.5 | 0.0 | 0.0 | 0.0 | 25.0 | 0.0 | 20.0 | 50.0 |
| Walk | 0.5 | 10.0 | 0.0 | 0.0 | 2.0 | 10.0 | 0.0 | 10.0 | 2.0 | 0.0 | 0.0 | 10.0 | 9.0 | 10.0 | 0.0 | 30.0 |
| Fast | 1.0 | 0.0 | 20.0 | 20.0 | 1.0 | 0.0 | 0.0 | 10.0 | 8.5 | 0.0 | 0.0 | 40.0 | 12.5 | 0.0 | 0.0 | 40.0 |
| 平均值 | 2.3 | 1.7 | 4.4 | 5.8 | 5.6 | 7.2 | 7.2 | 17.5 | 12.7 | 6.7 | 4.4 | 24.0 | 21.5 | 11.1 | 31.1 | 47.8 |
| 检测方法 | Football数据集上的异化率 | |||||||||||||||
| 5%预算 | 10%预算 | 15%预算 | 20%预算 | |||||||||||||
| MBA | nDec | CH-SNMF | BPMNH | MBA | nDec | CH-SNMF | BPMNH | MBA | nDec | CH-SNMF | BPMNH | MBA | nDec | CH-SNMF | BPMNH | |
| Lou | 3.6 | 18.2 | 16.7 | 16.4 | 7.7 | 39.4 | 16.7 | 63.6 | 32.7 | 100.0 | 33.3 | 90.9 | 74.1 | 100.0 | 61.1 | 100.0 |
| Lei | 6.4 | 9.1 | 0.0 | 0.0 | 11.4 | 45.5 | 16.7 | 54.5 | 36.8 | 81.8 | 33.3 | 90.9 | 68.2 | 100.0 | 33.3 | 100.0 |
| Inf | 27.3 | 27.3 | 33.3 | 27.3 | 35.5 | 54.5 | 50.0 | 72.7 | 48.2 | 100.0 | 33.3 | 72.7 | 76.4 | 100.0 | 50.0 | 81.8 |
| Lab | 23.2 | 9.1 | 33.3 | 27.3 | 47.3 | 54.5 | 33.3 | 81.8 | 64.1 | 90.9 | 33.3 | 72.7 | 86.8 | 100.0 | 50.0 | 81.8 |
| Walk | 5.5 | 9.1 | 0.0 | 0.0 | 25.0 | 63.6 | 50.0 | 45.5 | 66.4 | 100.0 | 50.0 | 81.8 | 80.5 | 100.0 | 66.7 | 90.9 |
| Fast | 41.8 | 45.5 | 33.3 | 54.5 | 48.6 | 63.6 | 33.3 | 63.6 | 56.8 | 90.9 | 66.7 | 100.0 | 72.7 | 90.9 | 66.7 | 72.7 |
| 平均值 | 18.0 | 19.7 | 19.4 | 20.9 | 29.2 | 53.5 | 33.3 | 63.6 | 50.8 | 93.9 | 41.7 | 84.8 | 76.4 | 98.5 | 54.6 | 87.9 |
| 检测方法 | Dolphins数据集上的异化率 | |||||||||||||||
| 5%预算 | 10%预算 | 15%预算 | 20%预算 | |||||||||||||
| MBA | nDec | CH-SNMF | BPMNH | MBA | nDec | CH-SNMF | BPMNH | MBA | nDec | CH-SNMF | BPMNH | MBA | nDec | CH-SNMF | BPMNH | |
| Lou | 3.3 | 0.0 | 16.7 | 3.3 | 8.3 | 0.0 | 16.7 | 33.3 | 15.8 | 5.6 | 38.9 | 35.0 | 34.2 | 5.6 | 61.1 | 61.7 |
| Lei | 0.8 | 0.0 | 0.0 | 0.0 | 14.2 | 0.0 | 16.7 | 33.3 | 23.3 | 0.0 | 33.3 | 28.3 | 45.8 | 33.3 | 33.3 | 66.7 |
| Inf | 5.8 | 0.0 | 0.0 | 50.0 | 15.8 | 50.0 | 50.0 | 16.7 | 37.5 | 66.7 | 33.3 | 50.0 | 46.7 | 16.7 | 50.0 | 66.7 |
| Lab | 20.8 | 16.7 | 33.3 | 16.7 | 27.5 | 50.0 | 33.3 | 33.3 | 34.2 | 50.0 | 33.3 | 33.3 | 40.0 | 50.0 | 50.0 | 66.7 |
| Walk | 8.3 | 16.7 | 0.0 | 0.0 | 8.3 | 0.0 | 50.0 | 50.0 | 43.3 | 16.7 | 50.0 | 50.0 | 39.2 | 16.7 | 66.7 | 16.6 |
| Fast | 13.3 | 16.7 | 33.3 | 16.7 | 20.8 | 16.7 | 33.3 | 33.3 | 35.0 | 0.0 | 66.7 | 50.0 | 46.7 | 50.0 | 66.7 | 50.0 |
| 平均值 | 8.7 | 8.3 | 13.9 | 14.4 | 15.8 | 19.4 | 33.3 | 33.3 | 31.5 | 23.1 | 42.6 | 41.1 | 42.1 | 28.7 | 54.6 | 54.7 |
| 检测方法 | Email-univ数据集上的异化率 | |||||||||||||||
| 5%预算 | 10%预算 | 15%预算 | 20%预算 | |||||||||||||
| MBA | nDec | CH-SNMF | BPMNH | MBA | nDec | CH-SNMF | BPMNH | MBA | nDec | CH-SNMF | BPMNH | MBA | nDec | CH-SNMF | BPMNH | |
| Lou | 30.3 | 20.9 | 17.7 | 25.0 | 25.3 | 38.9 | 28.3 | 39.0 | 27.6 | 46.9 | 34.5 | 47.0 | 41.8 | 51.6 | 36.6 | 58.7 |
| Lei | 14.9 | 28.3 | 18.6 | 22.6 | 18.9 | 41.6 | 22.1 | 32.7 | 25.7 | 38.9 | 29.2 | 38.9 | 29.4 | 42.5 | 29.2 | 42.9 |
| Inf | 27.1 | 31.9 | 24.8 | 34.5 | 31.7 | 53.1 | 29.2 | 40.7 | 38.2 | 58.4 | 38.1 | 72.6 | 49.7 | 76.1 | 43.4 | 61.1 |
| Lab | 37.3 | 23.9 | 19.5 | 48.7 | 44.8 | 46.9 | 48.7 | 48.7 | 49.7 | 46.9 | 48.7 | 48.7 | 48.7 | 46.0 | 47.8 | 48.7 |
| Walk | 9.7 | 15.0 | 7.1 | 10.6 | 21.8 | 23.0 | 10.6 | 17.7 | 21.1 | 35.4 | 21.2 | 30.1 | 39.1 | 49.6 | 21.2 | 29.2 |
| Fast | 42.1 | 44.2 | 46.0 | 42.5 | 41.4 | 46.0 | 23.9 | 44.2 | 43.5 | 39.8 | 30.1 | 45.1 | 44.2 | 44.2 | 35.4 | 48.7 |
| 平均值 | 26.9 | 27.4 | 22.3 | 30.6 | 30.6 | 41.6 | 27.1 | 37.2 | 34.3 | 44.4 | 33.6 | 47.1 | 42.1 | 51.7 | 35.6 | 48.2 |
| 检测方法 | Tech-pgp数据集上的异化率 | |||||||||||||||
| 5%预算 | 10%预算 | 15%预算 | 20%预算 | |||||||||||||
| MBA | nDec | CH-SNMF | BPMNH | MBA | nDec | CH-SNMF | BPMNH | MBA | nDec | CH-SNMF | BPMNH | MBA | nDec | CH-SNMF | BPMNH | |
| Lou | 16.5 | 15.7 | 21.4 | 22.8 | 20.7 | 17.5 | 26.6 | 29.7 | 23.4 | 18.4 | 31.5 | 33.9 | 26.0 | 24.8 | 37.3 | 39.0 |
| Lei | 14.0 | 10.3 | 17.4 | 17.4 | 16.3 | 13.1 | 23.1 | 29.5 | 17.7 | 19.6 | 29.7 | 29.5 | 18.0 | 24.3 | 32.6 | 33.9 |
| Inf | 23.9 | 78.6 | 78.6 | 78.3 | 23.9 | 78.5 | 28.4 | 78.6 | 37.4 | 78.3 | 58.9 | 56.3 | 78.7 | 28.5 | 69.5 | 61.0 |
| Lab | 16.6 | 25.4 | 14.1 | 21.2 | 14.3 | 27.6 | 25.6 | 24.6 | 14.7 | 38.3 | 19.0 | 26.5 | 15.4 | 36.5 | 25.7 | 42.3 |
| Walk | 18.7 | 23.2 | 17.9 | 16.4 | 20.3 | 17.8 | 24.9 | 23.8 | 25.1 | 23.5 | 29.2 | 29.5 | 23.2 | 29.6 | 32.5 | 33.5 |
| Fast | 8.6 | 18.9 | 23.9 | 31.1 | 25.0 | 26.3 | 44.2 | 36.7 | 27.7 | 24.5 | 39.7 | 43.5 | 27.2 | 33.1 | 46.1 | 45.1 |
| 平均值 | 16.4 | 28.7 | 28.9 | 31.2 | 20.1 | 30.1 | 28.8 | 37.1 | 24.3 | 33.8 | 34.7 | 36.5 | 31.4 | 29.4 | 40.6 | 42.5 |
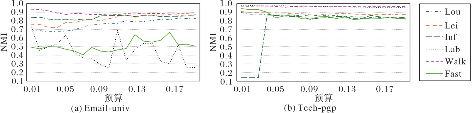
图6 在不同社区检测方法下和不同大规模数据集上BPMNH对应的NMI平均值
Fig. 6 Average NMI values of BPMNH under different community detection methods on different large-scale datasets
图7 在不同社区检测方法下和Polbooks数据集上的不同隐藏策略的AN值
Fig. 7 AN values for different hiding strategies under different community detection methods on Polbooks dataset
| 检测方法 | Email-univ数据集上的异化率 | |||||||||||||||
|---|---|---|---|---|---|---|---|---|---|---|---|---|---|---|---|---|
| 5%预算 | 10%预算 | 15%预算 | 20%预算 | |||||||||||||
| MBA | nDec | CH-SNMF | BPMNH | MBA | nDec | CH-SNMF | BPMNH | MBA | nDec | CH-SNMF | BPMNH | MBA | nDec | CH-SNMF | BPMNH | |
| Lou | 33.6 | 84.5 | 38.2 | 84.5 | 42.7 | 94.5 | 53.6 | 100.0 | 46.4 | 98.2 | 74.5 | 99.1 | 61.8 | 99.1 | 93.6 | 100.0 |
| Lei | 43.6 | 92.7 | 20.0 | 81.8 | 21.8 | 100.0 | 40.0 | 100.0 | 56.4 | 100.0 | 63.6 | 100.0 | 45.5 | 100.0 | 100.0 | 100.0 |
| Inf | 18.2 | 90.9 | 45.5 | 100.0 | 36.4 | 100.0 | 72.7 | 100.0 | 36.4 | 100.0 | 81.8 | 100.0 | 54.5 | 100.0 | 90.9 | 100.0 |
| Lab | 36.4 | 27.3 | 36.4 | 36.4 | 36.4 | 100.0 | 36.4 | 36.4 | 36.4 | 100.0 | 36.4 | 54.5 | 36.4 | 36.4 | 36.4 | 36.4 |
| Walk | 0.0 | 45.5 | 0.0 | 63.6 | 36.4 | 36.4 | 54.5 | 100.0 | 36.4 | 45.5 | 36.4 | 100.0 | 100.0 | 45.5 | 36.4 | 100.0 |
| Fast | 27.3 | 72.7 | 72.7 | 72.7 | 63.6 | 90.9 | 63.6 | 90.9 | 72.7 | 90.9 | 72.7 | 100.0 | 54.5 | 90.9 | 72.7 | 90.9 |
| 平均值 | 26.5 | 68.9 | 35.5 | 73.2 | 39.5 | 87.0 | 53.5 | 87.9 | 47.4 | 89.1 | 60.9 | 92.3 | 58.8 | 78.6 | 71.7 | 87.9 |
| 检测方法 | Power数据集上的异化率 | |||||||||||||||
| 5%预算 | 10%预算 | 15%预算 | 20%预算 | |||||||||||||
| MBA | nDec | CH-SNMF | BPMNH | MBA | nDec | CH-SNMF | BPMNH | MBA | nDec | CH-SNMF | BPMNH | MBA | nDec | CH-SNMF | BPMNH | |
| Lou | 22.9 | 34.7 | 19.4 | 39.0 | 24.7 | 96.3 | 36.3 | 78.4 | 31.0 | 99.2 | 49.0 | 98.4 | 32.0 | 98.4 | 68.6 | 98.4 |
| Lei | 21.8 | 34.7 | 19.4 | 37.1 | 28.8 | 94.7 | 25.7 | 82.0 | 34.9 | 97.1 | 50.6 | 96.1 | 33.5 | 100.0 | 64.3 | 98.0 |
| Inf | 95.9 | 12.2 | 85.7 | 89.8 | 77.6 | 91.8 | 81.6 | 89.8 | 87.8 | 93.9 | 98.0 | 89.8 | 83.7 | 98.0 | 95.9 | 83.7 |
| Lab | 40.8 | 91.8 | 53.1 | 79.6 | 51.0 | 100.0 | 79.6 | 91.8 | 51.0 | 100.0 | 87.8 | 93.9 | 57.1 | 95.9 | 98.0 | 95.9 |
| Walk | 55.1 | 73.5 | 63.3 | 71.4 | 67.3 | 77.6 | 63.3 | 77.6 | 65.3 | 69.4 | 65.3 | 67.3 | 67.3 | 67.3 | 65.3 | 73.5 |
| Fast | 14.3 | 36.7 | 22.4 | 44.9 | 26.5 | 93.9 | 36.7 | 73.5 | 36.7 | 98.0 | 51.0 | 95.9 | 49.0 | 100.0 | 61.2 | 95.9 |
| 平均值 | 41.8 | 47.3 | 43.9 | 60.3 | 46.0 | 92.4 | 53.9 | 82.2 | 51.1 | 92.9 | 66.9 | 90.2 | 53.8 | 93.3 | 75.5 | 90.9 |
| 检测方法 | Tech-pgp数据集上的异化率 | |||||||||||||||
| 5%预算 | 10%预算 | 15%预算 | 20%预算 | |||||||||||||
| MBA | nDec | CH-SNMF | BPMNH | MBA | nDec | CH-SNMF | BPMNH | MBA | nDec | CH-SNMF | BPMNH | MBA | nDec | CH-SNMF | BPMNH | |
| Lou | 4.9 | 10.2 | 6.2 | 13.6 | 6.6 | 17.4 | 7.4 | 26.8 | 6.3 | 38.5 | 7.0 | 50.7 | 7.5 | 92.3 | 8.3 | 76.6 |
| Lei | 2.6 | 14.7 | 4.2 | 16.2 | 2.9 | 15.5 | 4.3 | 32.0 | 4.8 | 54.3 | 7.7 | 68.2 | 4.9 | 92.3 | 8.9 | 85.5 |
| Inf | 12.3 | 54.7 | 2.8 | 29.2 | 12.3 | 17.0 | 5.7 | 36.8 | 48.1 | 27.4 | 7.5 | 71.7 | 56.6 | 27.4 | 47.2 | 71.7 |
| Lab | 1.9 | 36.8 | 17.0 | 31.1 | 17.0 | 44.3 | 13.2 | 53.8 | 12.3 | 80.2 | 46.2 | 85.8 | 12.3 | 99.1 | 50.0 | 79.2 |
| Walk | 36.8 | 3.8 | 16.0 | 32.1 | 20.8 | 18.9 | 20.8 | 35.8 | 42.5 | 29.2 | 40.6 | 66.0 | 43.4 | 97.2 | 49.1 | 68.9 |
| Fast | 2.8 | 17.9 | 2.8 | 17.0 | 15.1 | 52.8 | 18.9 | 42.5 | 13.2 | 25.5 | 17.9 | 48.1 | 13.2 | 88.7 | 41.5 | 50.0 |
| 平均值 | 10.2 | 23.0 | 8.2 | 23.2 | 12.4 | 27.6 | 11.7 | 37.9 | 21.2 | 42.5 | 21.2 | 65.1 | 23 | 82.8 | 34.1 | 72.0 |
| 检测方法 | Oregon-1数据集上的异化率 | |||||||||||||||
| 5%预算 | 10%预算 | 15%预算 | 20%预算 | |||||||||||||
| MBA | nDec | CH-SNMF | BPMNH | MBA | nDec | CH-SNMF | BPMNH | MBA | nDec | CH-SNMF | BPMNH | MBA | nDec | CH-SNMF | BPMNH | |
| Lou | 17.0 | 19.3 | 17.7 | 26.8 | 23.2 | 28.3 | 24.3 | 45.8 | 27.8 | 33.0 | 28.9 | 52.2 | 34.2 | 41.3 | 33.4 | 57.4 |
| Lei | 13.2 | 15.3 | 15.1 | 28.7 | 24.9 | 34.0 | 24.5 | 44.7 | 29.8 | 36.6 | 30.4 | 47.4 | 35.3 | 39.4 | 35.5 | 58.6 |
| Inf | 12.3 | 15.1 | 17.0 | 20.8 | 55.7 | 12.3 | 55.7 | 54.7 | 84.0 | 14.2 | 55.7 | 55.7 | 84.0 | 17.0 | 86.8 | 54.7 |
| Lab | 13.2 | 12.3 | 12.3 | 25.5 | 19.8 | 19.8 | 19.8 | 37.7 | 27.4 | 31.1 | 27.4 | 44.3 | 50.0 | 37.7 | 47.2 | 49.1 |
| Walk | 11.3 | 56.6 | 13.2 | 16.0 | 17.0 | 29.2 | 21.7 | 31.1 | 22.6 | 42.5 | 31.1 | 69.8 | 28.3 | 41.5 | 29.2 | 55.7 |
| Fast | 48.1 | 25.5 | 18.9 | 56.6 | 21.7 | 52.8 | 26.4 | 51.9 | 22.6 | 55.7 | 50.0 | 59.4 | 37.7 | 56.6 | 51.9 | 62.3 |
| 平均值 | 19.2 | 24.0 | 15.7 | 29.1 | 27.0 | 29.4 | 28.7 | 44.3 | 35.7 | 35.5 | 37.2 | 54.8 | 44.9 | 38.9 | 47.3 | 56.3 |
表3 1%节点的异化率(小规模多目标节点隐藏) (%)
Tab. 3 Alienation rates of 1% nodes (small-scale multi-target node hiding)
| 检测方法 | Email-univ数据集上的异化率 | |||||||||||||||
|---|---|---|---|---|---|---|---|---|---|---|---|---|---|---|---|---|
| 5%预算 | 10%预算 | 15%预算 | 20%预算 | |||||||||||||
| MBA | nDec | CH-SNMF | BPMNH | MBA | nDec | CH-SNMF | BPMNH | MBA | nDec | CH-SNMF | BPMNH | MBA | nDec | CH-SNMF | BPMNH | |
| Lou | 33.6 | 84.5 | 38.2 | 84.5 | 42.7 | 94.5 | 53.6 | 100.0 | 46.4 | 98.2 | 74.5 | 99.1 | 61.8 | 99.1 | 93.6 | 100.0 |
| Lei | 43.6 | 92.7 | 20.0 | 81.8 | 21.8 | 100.0 | 40.0 | 100.0 | 56.4 | 100.0 | 63.6 | 100.0 | 45.5 | 100.0 | 100.0 | 100.0 |
| Inf | 18.2 | 90.9 | 45.5 | 100.0 | 36.4 | 100.0 | 72.7 | 100.0 | 36.4 | 100.0 | 81.8 | 100.0 | 54.5 | 100.0 | 90.9 | 100.0 |
| Lab | 36.4 | 27.3 | 36.4 | 36.4 | 36.4 | 100.0 | 36.4 | 36.4 | 36.4 | 100.0 | 36.4 | 54.5 | 36.4 | 36.4 | 36.4 | 36.4 |
| Walk | 0.0 | 45.5 | 0.0 | 63.6 | 36.4 | 36.4 | 54.5 | 100.0 | 36.4 | 45.5 | 36.4 | 100.0 | 100.0 | 45.5 | 36.4 | 100.0 |
| Fast | 27.3 | 72.7 | 72.7 | 72.7 | 63.6 | 90.9 | 63.6 | 90.9 | 72.7 | 90.9 | 72.7 | 100.0 | 54.5 | 90.9 | 72.7 | 90.9 |
| 平均值 | 26.5 | 68.9 | 35.5 | 73.2 | 39.5 | 87.0 | 53.5 | 87.9 | 47.4 | 89.1 | 60.9 | 92.3 | 58.8 | 78.6 | 71.7 | 87.9 |
| 检测方法 | Power数据集上的异化率 | |||||||||||||||
| 5%预算 | 10%预算 | 15%预算 | 20%预算 | |||||||||||||
| MBA | nDec | CH-SNMF | BPMNH | MBA | nDec | CH-SNMF | BPMNH | MBA | nDec | CH-SNMF | BPMNH | MBA | nDec | CH-SNMF | BPMNH | |
| Lou | 22.9 | 34.7 | 19.4 | 39.0 | 24.7 | 96.3 | 36.3 | 78.4 | 31.0 | 99.2 | 49.0 | 98.4 | 32.0 | 98.4 | 68.6 | 98.4 |
| Lei | 21.8 | 34.7 | 19.4 | 37.1 | 28.8 | 94.7 | 25.7 | 82.0 | 34.9 | 97.1 | 50.6 | 96.1 | 33.5 | 100.0 | 64.3 | 98.0 |
| Inf | 95.9 | 12.2 | 85.7 | 89.8 | 77.6 | 91.8 | 81.6 | 89.8 | 87.8 | 93.9 | 98.0 | 89.8 | 83.7 | 98.0 | 95.9 | 83.7 |
| Lab | 40.8 | 91.8 | 53.1 | 79.6 | 51.0 | 100.0 | 79.6 | 91.8 | 51.0 | 100.0 | 87.8 | 93.9 | 57.1 | 95.9 | 98.0 | 95.9 |
| Walk | 55.1 | 73.5 | 63.3 | 71.4 | 67.3 | 77.6 | 63.3 | 77.6 | 65.3 | 69.4 | 65.3 | 67.3 | 67.3 | 67.3 | 65.3 | 73.5 |
| Fast | 14.3 | 36.7 | 22.4 | 44.9 | 26.5 | 93.9 | 36.7 | 73.5 | 36.7 | 98.0 | 51.0 | 95.9 | 49.0 | 100.0 | 61.2 | 95.9 |
| 平均值 | 41.8 | 47.3 | 43.9 | 60.3 | 46.0 | 92.4 | 53.9 | 82.2 | 51.1 | 92.9 | 66.9 | 90.2 | 53.8 | 93.3 | 75.5 | 90.9 |
| 检测方法 | Tech-pgp数据集上的异化率 | |||||||||||||||
| 5%预算 | 10%预算 | 15%预算 | 20%预算 | |||||||||||||
| MBA | nDec | CH-SNMF | BPMNH | MBA | nDec | CH-SNMF | BPMNH | MBA | nDec | CH-SNMF | BPMNH | MBA | nDec | CH-SNMF | BPMNH | |
| Lou | 4.9 | 10.2 | 6.2 | 13.6 | 6.6 | 17.4 | 7.4 | 26.8 | 6.3 | 38.5 | 7.0 | 50.7 | 7.5 | 92.3 | 8.3 | 76.6 |
| Lei | 2.6 | 14.7 | 4.2 | 16.2 | 2.9 | 15.5 | 4.3 | 32.0 | 4.8 | 54.3 | 7.7 | 68.2 | 4.9 | 92.3 | 8.9 | 85.5 |
| Inf | 12.3 | 54.7 | 2.8 | 29.2 | 12.3 | 17.0 | 5.7 | 36.8 | 48.1 | 27.4 | 7.5 | 71.7 | 56.6 | 27.4 | 47.2 | 71.7 |
| Lab | 1.9 | 36.8 | 17.0 | 31.1 | 17.0 | 44.3 | 13.2 | 53.8 | 12.3 | 80.2 | 46.2 | 85.8 | 12.3 | 99.1 | 50.0 | 79.2 |
| Walk | 36.8 | 3.8 | 16.0 | 32.1 | 20.8 | 18.9 | 20.8 | 35.8 | 42.5 | 29.2 | 40.6 | 66.0 | 43.4 | 97.2 | 49.1 | 68.9 |
| Fast | 2.8 | 17.9 | 2.8 | 17.0 | 15.1 | 52.8 | 18.9 | 42.5 | 13.2 | 25.5 | 17.9 | 48.1 | 13.2 | 88.7 | 41.5 | 50.0 |
| 平均值 | 10.2 | 23.0 | 8.2 | 23.2 | 12.4 | 27.6 | 11.7 | 37.9 | 21.2 | 42.5 | 21.2 | 65.1 | 23 | 82.8 | 34.1 | 72.0 |
| 检测方法 | Oregon-1数据集上的异化率 | |||||||||||||||
| 5%预算 | 10%预算 | 15%预算 | 20%预算 | |||||||||||||
| MBA | nDec | CH-SNMF | BPMNH | MBA | nDec | CH-SNMF | BPMNH | MBA | nDec | CH-SNMF | BPMNH | MBA | nDec | CH-SNMF | BPMNH | |
| Lou | 17.0 | 19.3 | 17.7 | 26.8 | 23.2 | 28.3 | 24.3 | 45.8 | 27.8 | 33.0 | 28.9 | 52.2 | 34.2 | 41.3 | 33.4 | 57.4 |
| Lei | 13.2 | 15.3 | 15.1 | 28.7 | 24.9 | 34.0 | 24.5 | 44.7 | 29.8 | 36.6 | 30.4 | 47.4 | 35.3 | 39.4 | 35.5 | 58.6 |
| Inf | 12.3 | 15.1 | 17.0 | 20.8 | 55.7 | 12.3 | 55.7 | 54.7 | 84.0 | 14.2 | 55.7 | 55.7 | 84.0 | 17.0 | 86.8 | 54.7 |
| Lab | 13.2 | 12.3 | 12.3 | 25.5 | 19.8 | 19.8 | 19.8 | 37.7 | 27.4 | 31.1 | 27.4 | 44.3 | 50.0 | 37.7 | 47.2 | 49.1 |
| Walk | 11.3 | 56.6 | 13.2 | 16.0 | 17.0 | 29.2 | 21.7 | 31.1 | 22.6 | 42.5 | 31.1 | 69.8 | 28.3 | 41.5 | 29.2 | 55.7 |
| Fast | 48.1 | 25.5 | 18.9 | 56.6 | 21.7 | 52.8 | 26.4 | 51.9 | 22.6 | 55.7 | 50.0 | 59.4 | 37.7 | 56.6 | 51.9 | 62.3 |
| 平均值 | 19.2 | 24.0 | 15.7 | 29.1 | 27.0 | 29.4 | 28.7 | 44.3 | 35.7 | 35.5 | 37.2 | 54.8 | 44.9 | 38.9 | 47.3 | 56.3 |
图9 在不同社区检测方法下和不同小规模数据集上BPMNH对应的NMI平均值
Fig. 9 Average NMI values of BPMNH under different community detection methods on different small?scale datasets
图10 在不同社区检测方法下和Tech-pgp数据集上的不同隐藏策略的AN值
Fig. 10 AN values for different hiding strategies under different community detection methods on Tech-pgp dataset
| [1] | GIRVAN M, NEWMAN M E J. Community structure in social and biological networks[J]. Proceedings of the National Academy of Sciences of the United States of America, 2002, 99(12): 7821-7826. |
| [2] | ALBERT R, BARABÁSI A L. Statistical mechanics of complex networks[J]. Reviews of Modern Physics, 2002, 74(1): 47-97. |
| [3] | NEWMAN M E J. The structure and function of complex networks[J]. SIAM Review, 2003, 45(2): 167-256. |
| [4] | OUKEMENI S, RIFÀ-POUS H, PUIG J M M. Privacy analysis on microblogging online social networks: a survey[J]. ACM Computing Surveys, 2020, 52(3): No.60. |
| [5] | NAGARAJA S. The impact of unlinkability on adversarial community detection: effects and countermeasures[C]// Proceedings of the 2010 International Symposium on Privacy Enhancing Technologies, LNCS 6205. Berlin: Springer, 2010: 253-272. |
| [6] | CHEN J, CHEN L, CHEN Y, et al. GA-based Q-Attack on community detection[J]. IEEE Transactions on Computational Social Systems, 2019, 6(3): 491-503. |
| [7] | WANIEK M, MICHALAK T P, WOOLDRIDGE M J, et al. Hiding individuals and communities in a social network[J]. Nature Human Behaviour, 2018, 2(2): 139-147. |
| [8] | MITTAL S, SENGUPTA D, CHAKRABORTY T. Hide and seek: outwitting community detection algorithms[J]. IEEE Transactions on Computational Social Systems, 2021, 8(4): 799-808. |
| [9] | 刘栋,刘侠,贾若雪,等. 基于随机块模型的社区隐藏统一框架[J]. 计算机研究与发展, 2024, 61(7):1850-1862. |
| LIU D, LIU X, JIA R X, et al. A unified framework for community hiding based on stochastic block model[J]. Journal of Computer Research and Development, 2024, 61(7): 1850-1862. | |
| [10] | FIONDA V, PIRRÒ G. Community deception or: how to stop fearing community detection algorithms[J]. IEEE Transactions on Knowledge and Data Engineering, 2018, 30(4): 660-673. |
| [11] | LIU D, CHANG Z, YANG G, et al. Hiding ourselves from community detection through genetic algorithms[J]. Information Sciences, 2022, 614: 123-137. |
| [12] | McAULEY J, LESKOVEC J. Learning to discover social circles in ego networks[C]// Proceedings of the 26th International Conference on Neural Information Processing Systems — Volume 1. Red Hook: Curran Associates Inc., 2012: 539-547. |
| [13] | AHN Y Y, BAGROW J P, LEHMANN S. Link communities reveal multiscale complexity in networks[J]. Nature, 2010, 466(7307): 761-764. |
| [14] | YANG L, CAO X, HE D, et al. Modularity-based community detection with deep learning[C]// Proceedings of the 25th International Joint Conference on Artificial Intelligence. Palo Alto: AAAI Press, 2016: 2252-2258. |
| [15] | STREICH A P, FRANK M, BASIN D, et al. Multi-assignment clustering for Boolean data[C]// Proceedings of the 26th Annual International Conference on Machine Learning. New York: ACM, 2009: 969-976. |
| [16] | SØRENSEN M, SIDIROPOULOS N D, SWAMI A. Overlapping community detection via semi-binary matrix factorization: identifiability and algorithms[J]. IEEE Transactions on Signal Processing, 2022, 70: 4321-4336. |
| [17] | BALASUBRAMANYAN R, COHEN W W. Block-LDA: jointly modeling entity-annotated text and entity-entity links[C]// Proceedings of the 2011 SIAM International Conference on Data Mining. Philadelphia, PA: SIAM, 2011: 450-461. |
| [18] | COSCIA M, ROSSETTI G, GIANNOTTI F, et al. DEMON: a local-first discovery method for overlapping communities[C]// Proceedings of the 18th ACM SIGKDD International Conference on Knowledge Discovery and Data Mining. New York: ACM, 2012: 615-623. |
| [19] | HUANG W, LIU Y, CHEN Y. Mixed membership stochastic block models for heterogeneous networks[J]. Bayesian Analysis, 2020, 15(3): 711-736. |
| [20] | ZHANG A, ZHU J, ZHANG B. Sparse relational topic models for document networks[C]// Proceedings of the 2013 European Conference on Machine Learning and Knowledge Discovery in Databases, LNCS 8188. Berlin: Springer, 2013: 670-685. |
| [21] | NEWMAN M E J. Modularity and community structure in networks[J]. Proceedings of the National Academy of Sciences of the United States of America, 2006, 103(23): 8577-8582. |
| [22] | KHAN B S, NIAZI M A. Network community detection: a review and visual survey[EB/OL]. [2024-04-13].. |
| [23] | 王瀚橙,戴海鹏,陈志鹏,等. 基于MapReduce的大规模网络社区发现算法[J]. 计算机科学, 2024, 51(4): 11-18. |
| WANG H C, DAI H P, CHEN Z P, et al. Large-scale network community detection algorithm based on MapReduce[J]. Computer Science, 2024, 51(4): 11-18. | |
| [24] | YANG G, ZHENG W, CHE C, et al. Graph-based label propagation algorithm for community detection[J]. International Journal of Machine Learning and Cybernetics, 2020, 11(6): 1319-1329. |
| [25] | FAN L, SONG K, LIU D. A noise reduction method for semi-supervised community detection based on harmonic function[J]. International Journal of Modern Physics B, 2018, 32(14): No.1850166. |
| [26] | 赵兴旺,薛晋芳. 基于二部图表示的属性网络社区发现算法[J]. 计算机科学, 2023, 50(11): 107-113. |
| ZHAO X W, XUE J F. Community discovery algorithm for attributed networks based on bipartite graph representation[J]. Computer Science, 2023, 50(11): 107-113. | |
| [27] | XU Z, KE Y, WANG Y, et al. A model-based approach to attributed graph clustering[C]// Proceedings of the 2012 ACM SIGMOD International Conference on Management of Data. New York: ACM, 2012: 505-516. |
| [28] | PALLA G, DERÉNYI I, FARKAS I, et al. Uncovering the overlapping community structure of complex networks in nature and society[J]. Nature, 2005, 435(7043): 814-818. |
| [29] | MEENA J, DEVI V S. Overlapping community detection in social network using disjoint community detection[C]// Proceedings of the 2015 IEEE Symposium Series on Computational Intelligence. Piscataway: IEEE, 2015: 764-771. |
| [30] | CHEN X, JIANG Z, LI H, et al. Community hiding by link perturbation in social networks[J]. IEEE Transactions on Computational Social Systems, 2021, 8(3): 704-715. |
| [31] | LIU Y, LIU J, ZHANG Z, et al. REM: from structural entropy to community structure deception[C]// Proceedings of the 33rd International Conference on Neural Information Processing Systems. Red Hook: Curran Associates Inc., 2019: 12938-12948. |
| [32] | FIONDA V, MADI S A, PIRRÒ G. Community deception: from undirected to directed networks[J]. Social Network Analysis and Mining, 2022, 12: No.74. |
| [33] | FIONDA V, PIRRÒ G. Community deception in weighted networks[C]// Proceedings of the 2021 IEEE/ACM International Conference on Advances in Social Networks Analysis and Mining. New York: ACM, 2022: 278-282. |
| [34] | NALLUSAMY K, EASWARAKUMAR K S. PERMDEC: community deception in weighted networks using permanence[J]. Computing, 2024, 106(2): 353-370. |
| [35] | YANG G, WANG Y, CHANG Z, et al. Overlapping community hiding method based on multi-level neighborhood information[J]. Symmetry, 2022, 14(11): No.2328. |
| [36] | LIU D, JIA R, LIU X, et al. A unified framework of community hiding using symmetric nonnegative matrix factorization[J]. Information Sciences, 2024, 663: No.120235. |
| [37] | PIRRÒ G. Community deception from a node-centric perspective[J]. IEEE Transactions on Network Science and Engineering, 2024, 11(1): 969-981. |
| [38] | CHAKRABORTY T, SRINIVASAN S, GANGULY N, et al. On the permanence of vertices in network communities[C]// Proceedings of the 20th ACM SIGKDD International Conference on Knowledge Discovery and Data Mining. New York: ACM, 2014: 1396-1405. |
| [39] | ZACHARY W W. An information flow model for conflict and fission in small groups[J]. Journal of Anthropological Research, 1977, 33(4): 452-473. |
| [40] | LUSSEAU D, SCHNEIDER K, BOISSEAU O J, et al. The bottlenose dolphin community of Doubtful Sound features a large proportion of long-lasting associations[J]. Behavioral Ecology and Sociobiology, 2003, 54(4): 396-405. |
| [41] | ROSSI R A, AHMED N K. The network data repository with interactive graph analytics and visualization[C]// Proceedings of the 29th AAAI Conference on Artificial Intelligence. Palo Alto: AAAI Press, 2015: 4292-4293. |
| [42] | BLONDEL V D, GUILLAUME J L, LAMBIOTTE R, et al. Fast unfolding of communities in large networks[J]. Journal of Statistical Mechanics: Theory and Experiment, 2008, 2008(10): No.P10008. |
| [43] | ROSVALL M, BERGSTROM C T. Maps of random walks on complex networks reveal community structure[J]. Proceedings of the National Academy of Sciences of the United States of America, 2008, 105(4): 1118-1123. |
| [44] | HOSSEINI R, REZVANIAN A. AntLP: ant-based label propagation algorithm for community detection in social networks[J]. CAAI Transactions on Intelligence Technology, 2020, 5(1): 34-41. |
| [45] | PONS P, LATAPY M. Computing communities in large networks using random walks[C]// Proceedings of the 2005 International Symposium on Computer and Information Sciences, LNCS 3733. Berlin: Springer, 2005: 284-293. |
| [1] | 张博瀚, 吕乐, 荆军昌, 刘栋. 基于遗传算法的属性网络社区隐藏方法[J]. 《计算机应用》唯一官方网站, 2025, 45(9): 2817-2826. |
| [2] | 胡林波, 倪志伟, 程家乐, 刘文涛, 朱旭辉. 融合社区检测的协作众包任务分配方法[J]. 《计算机应用》唯一官方网站, 2025, 45(2): 534-545. |
| [3] | 王中钰, 钱晓东. 基于改进期望最大化算法的供应链网络边连接规则优化[J]. 《计算机应用》唯一官方网站, 2024, 44(11): 3386-3395. |
| [4] | 黄杰, 武瑞梓, 李均利. 高效的自适应复杂网络鲁棒性优化算法[J]. 《计算机应用》唯一官方网站, 2024, 44(11): 3530-3539. |
| [5] | 刘世梁, 王义, 马应龙. 考虑社区规模不平衡的非重叠社区检测[J]. 《计算机应用》唯一官方网站, 2024, 44(11): 3396-3402. |
| [6] | 周琳, 肖玉芝, 刘鹏, 秦有鹏. 基于节点多关系的社团挖掘算法及其应用[J]. 《计算机应用》唯一官方网站, 2023, 43(5): 1489-1496. |
| [7] | 李鹏, 王世林, 陈光武, 闫光辉. 基于改进的局部结构熵复杂网络重要节点挖掘[J]. 《计算机应用》唯一官方网站, 2023, 43(4): 1109-1114. |
| [8] | 温祥西, 彭娅婷, 毕可心, 衡宇铭, 吴明功. 基于最优样本集在线模糊最小二乘支持向量机的飞行冲突网络态势预测[J]. 《计算机应用》唯一官方网站, 2023, 43(11): 3632-3640. |
| [9] | 李占利, 李颖, 罗香玉, 罗颖骁. 基于Monte-Carlo迭代求解策略的局部社区发现算法[J]. 《计算机应用》唯一官方网站, 2023, 43(1): 104-110. |
| [10] | 孟昱煜, 郭静. 信息熵改进主成分分析模型的链路预测算法[J]. 《计算机应用》唯一官方网站, 2022, 42(9): 2823-2829. |
| [11] | 郝志刚, 秦丽. 基于多属性综合评价的食品安全标准引用网络重要节点发现方法[J]. 《计算机应用》唯一官方网站, 2022, 42(4): 1178-1185. |
| [12] | 胡军, 许正康, 刘立, 钟福金. 融合多粒度社区信息的网络嵌入方法[J]. 《计算机应用》唯一官方网站, 2022, 42(3): 663-670. |
| [13] | 陈广福, 王海波, 连雁平. 基于高阶自包含协同过滤的有向网络链路预测[J]. 《计算机应用》唯一官方网站, 2022, 42(10): 3060-3068. |
| [14] | 蔡彪, 李蕊岑, 吴媛媛. 相似性特征对链路预测的影响与增强[J]. 计算机应用, 2021, 41(9): 2569-2577. |
| [15] | 李亚芳, 梁烨, 冯韦玮, 祖宝开, 康玉健. 基于社区优化的深度网络嵌入方法[J]. 计算机应用, 2021, 41(7): 1956-1963. |
| 阅读次数 | ||||||
|
全文 |
|
|||||
|
摘要 |
|
|||||