《计算机应用》唯一官方网站 ›› 2023, Vol. 43 ›› Issue (5): 1489-1496.DOI: 10.11772/j.issn.1001-9081.2022081218
所属专题: 数据科学与技术
周琳1,2,3, 肖玉芝1,2,3(
), 刘鹏1,2,3, 秦有鹏1,2,3
收稿日期:2022-07-19
修回日期:2022-09-15
接受日期:2022-09-23
发布日期:2023-05-08
出版日期:2023-05-10
通讯作者:
肖玉芝
作者简介:周琳(1997—),女,辽宁大连人,硕士研究生,主要研究方向:社团划分基金资助:
Lin ZHOU1,2,3, Yuzhi XIAO1,2,3(
), Peng LIU1,2,3, Youpeng QIN1,2,3
Received:2022-07-19
Revised:2022-09-15
Accepted:2022-09-23
Online:2023-05-08
Published:2023-05-10
Contact:
Yuzhi XIAO
About author:ZHOU Lin, born in 1997, M. S. candidate. Her research interests include community division.Supported by:摘要:
为度量多关系节点相似性、挖掘具有多关系节点的社团结构,提出基于节点多关系的社团挖掘算法LSL-GN。首先基于节点相似性和节点可达性刻画具有多关系的节点相似性度量指标LHN-ISL;然后利用该指标重构目标网络的低密度模型,并结合GN(Girvan-Newman)算法完成社团划分。将LSL-GN算法与多个经典社团挖掘算法在模块度(Q)、标准化互信息(NMI)和调整兰德指数(ARI)上进行对比,结果显示LSL-GN算法在3个指标上均优于经典算法,说明它的社团划分质量相对较好。将LSL-GN应用于“用户-应用”的移动漫游网络模型中,划分出了以携程旅行、高德地图、滴滴出行等为基础应用的社团结构,而这些社团划分结果可为设计个性化套餐业务提供策略参考信息。
中图分类号:
周琳, 肖玉芝, 刘鹏, 秦有鹏. 基于节点多关系的社团挖掘算法及其应用[J]. 计算机应用, 2023, 43(5): 1489-1496.
Lin ZHOU, Yuzhi XIAO, Peng LIU, Youpeng QIN. Community mining algorithm based on multi-relationship of nodes and its application[J]. Journal of Computer Applications, 2023, 43(5): 1489-1496.
| 网络 | 节点数 | 边数 | 网络密度 | 平均路径长度 | 平均聚类系数 |
|---|---|---|---|---|---|
| Karate | 34 | 78 | 0.139 | 2.408 | 0.588 |
| Football | 115 | 616 | 0.094 | 2.508 | 0.403 |
| Adjnoun | 110 | 425 | 0.068 | 2.536 | 0.190 |
表1 网络基本信息
Tab. 1 Basic network information
| 网络 | 节点数 | 边数 | 网络密度 | 平均路径长度 | 平均聚类系数 |
|---|---|---|---|---|---|
| Karate | 34 | 78 | 0.139 | 2.408 | 0.588 |
| Football | 115 | 616 | 0.094 | 2.508 | 0.403 |
| Adjnoun | 110 | 425 | 0.068 | 2.536 | 0.190 |
| 网络 | GN | LSL-GN | Louvain | |||||||||
|---|---|---|---|---|---|---|---|---|---|---|---|---|
| Q | NMI | ARI | K | Q | NMI | ARI | K | Q | NMI | ARI | K | |
| Karate | 0.401 298 | 0.485 141 | 0.391 572 | 5 | 0.509 467 | 0.592 526 | 0.483 075 | 4 | 0.415 598 | 0.497 679 | 0.429 290 | 4 |
| Football | 0.599 629 | 0.878 889 | 0.778 102 | 10 | 0.788 884 | 0.891 017 | 0.820 503 | 10 | 0.604 407 | 0.884 961 | 0.806 940 | 10 |
| Adjnoun | 0.080 537 | 0.052 425 | 0.000 379 | 69 | 0.366 693 | 0.104 703 | 0.003 308 | 25 | 0.292 772 | 0.008 634 | -0.006 999 | 6 |
表2 模块度Q、NMI和ARI的对比
Tab. 2 Comparison of Q, NMI and ARI
| 网络 | GN | LSL-GN | Louvain | |||||||||
|---|---|---|---|---|---|---|---|---|---|---|---|---|
| Q | NMI | ARI | K | Q | NMI | ARI | K | Q | NMI | ARI | K | |
| Karate | 0.401 298 | 0.485 141 | 0.391 572 | 5 | 0.509 467 | 0.592 526 | 0.483 075 | 4 | 0.415 598 | 0.497 679 | 0.429 290 | 4 |
| Football | 0.599 629 | 0.878 889 | 0.778 102 | 10 | 0.788 884 | 0.891 017 | 0.820 503 | 10 | 0.604 407 | 0.884 961 | 0.806 940 | 10 |
| Adjnoun | 0.080 537 | 0.052 425 | 0.000 379 | 69 | 0.366 693 | 0.104 703 | 0.003 308 | 25 | 0.292 772 | 0.008 634 | -0.006 999 | 6 |
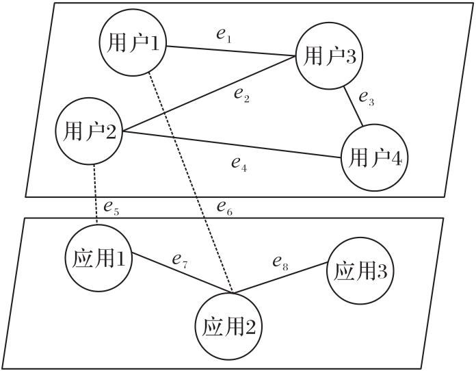
用户 ID | 是否 出差 | 出行 时长/d | 通话时 长/min | 使用流量/MB | ||
|---|---|---|---|---|---|---|
| 出行类应用 | 通信类应用 | 视频类应用 | ||||
| 用户1 | 是 | 5 | 70 | 去哪儿(28)、滴滴出行(51) | QQ(124)、微信(316) | 抖音(6 144)、优酷(1 935)、爱奇艺(315)、芒果TV(284) |
| 用户2 | 是 | 11 | 286 | 携程旅行(13)、去哪儿(8)、 途牛旅行(0.5) | 微信(738)、旺信(265) | 快手(8 127)、火山小视频(2 006) |
| 用户3 | 是 | 3 | 69 | 高德地图(33)、铁路12306(2) | QQ(342)、微信(227)、钉钉(85) | 抖音(3 148)、腾讯(2 147)、微视(826) |
| 用户4 | 否 | 61 | 793 | 微信(2 144) | 抖音(21 507)、快手(13 321)、腾讯(10 163) | |
表3 用户信息
Tab. 3 User information
用户 ID | 是否 出差 | 出行 时长/d | 通话时 长/min | 使用流量/MB | ||
|---|---|---|---|---|---|---|
| 出行类应用 | 通信类应用 | 视频类应用 | ||||
| 用户1 | 是 | 5 | 70 | 去哪儿(28)、滴滴出行(51) | QQ(124)、微信(316) | 抖音(6 144)、优酷(1 935)、爱奇艺(315)、芒果TV(284) |
| 用户2 | 是 | 11 | 286 | 携程旅行(13)、去哪儿(8)、 途牛旅行(0.5) | 微信(738)、旺信(265) | 快手(8 127)、火山小视频(2 006) |
| 用户3 | 是 | 3 | 69 | 高德地图(33)、铁路12306(2) | QQ(342)、微信(227)、钉钉(85) | 抖音(3 148)、腾讯(2 147)、微视(826) |
| 用户4 | 否 | 61 | 793 | 微信(2 144) | 抖音(21 507)、快手(13 321)、腾讯(10 163) | |
| 通话等级 | 标准化结果范围 |
|---|---|
| 高于平均通话时长 | |
| 高于但接近平均通话时长 | |
| 低于但接近平均通话时长 | |
| 低于平均通话时长 |
表4 通话等级设置
Tab. 4 Call level setting
| 通话等级 | 标准化结果范围 |
|---|---|
| 高于平均通话时长 | |
| 高于但接近平均通话时长 | |
| 低于但接近平均通话时长 | |
| 低于平均通话时长 |
| 算法 | Q | K |
|---|---|---|
| LSL-GN | 0.514 | 4 |
| Louvain | 0.494 | 3 |
| GN | 0.472 | 38 |
表5 不同社团挖掘算法在移动漫游网络上的划分结果对比
Tab. 5 Division results comparison of different community mining algorithms on mobile roaming network
| 算法 | Q | K |
|---|---|---|
| LSL-GN | 0.514 | 4 |
| Louvain | 0.494 | 3 |
| GN | 0.472 | 38 |
| 社团 | 应用平台 |
|---|---|
| 1 | 携程旅行、QQ、钉钉、Bilibili、快手等 |
| 2 | 高德地图、易信、腾讯视频、爱奇艺等 |
| 3 | 去哪儿、优酷、凤凰电视、咪咕视频等 |
| 4 | 铁路12306、滴滴出行、微信、抖音、火山小视频等 |
表6 LSL-GN算法的社团划分结果
Tab. 6 Community division results of LSL-GN algorithm
| 社团 | 应用平台 |
|---|---|
| 1 | 携程旅行、QQ、钉钉、Bilibili、快手等 |
| 2 | 高德地图、易信、腾讯视频、爱奇艺等 |
| 3 | 去哪儿、优酷、凤凰电视、咪咕视频等 |
| 4 | 铁路12306、滴滴出行、微信、抖音、火山小视频等 |
| 1 | 汪小帆,李翔,陈关荣. 复杂网络理论及其应用[M]. 北京:清华大学出版社, 2006:162-191. |
| WANG X F, LI X, CHEN G R. Complex Network Theory and its Application[M]. Beijing: Tsinghua University Press, 2006: 162-191. | |
| 2 | DONATH W E, HOFFMAN A J. Lower bounds for the partitioning of graphs[J]. IBM Journal of Research and Development, 1973, 17(5): 420-425. 10.1147/rd.175.0420 |
| 3 | MOUDEN Z A EL, JAKIMI A, HAJAR M. Unsupervised graph clustering for community detection in complex networks using spectral analysis[J]. International Journal of Multimedia Intelligence and Security, 2020, 3(4): 337-347. 10.1504/ijmis.2020.114775 |
| 4 | SUN H L, DU H X, HUANG J B, et al. Detecting semantic-based communities in node-attributed graphs[J]. Computational Intelligence, 2018, 34(4): 1199-1222. 10.1111/coin.12178 |
| 5 | ZHANG H Y, LIN L M, XU L, et al. Graph partition based privacy-preserving scheme in social networks[J]. Journal of Network and Computer Applications, 2021, 195: No.103214. 10.1016/j.jnca.2021.103214 |
| 6 | DŽAMIĆ D, ALOISE D, MLADENOVIĆ N. Ascent-descent variable neighborhood decomposition search for community detection by modularity maximization[J]. Annals of Operations Research, 2019, 272(1/2): 273-287. 10.1007/s10479-017-2553-9 |
| 7 | FENG S S, ZHANG H X, CAO J, et al. Merging user social network into the random walk model for better group recommendation[J]. Applied Intelligence, 2019, 49(6): 2046-2058. 10.1007/s10489-018-1375-z |
| 8 | GIRVAN M, NEWMAN M E J. Community structure in social and biological networks[J]. Proceedings of the National Academy of Sciences of the United States of America, 2002, 99(12): 7821-7826. 10.1073/pnas.122653799 |
| 9 | 吴卫江,桑睿彤,郑艺峰. 基于限制性随机游走局部谱近似社区发现算法[J]. 计算机工程与设计, 2021, 42(9):2472-2477. 10.16208/j.issn1000-7024.2021.09.010 |
| WU W J, SANG R T, ZHENG Y F. Local spectrum approximation algorithm with limited random walk for community detection[J]. Computer Engineering and Design, 2021, 42(9): 2472-2477. 10.16208/j.issn1000-7024.2021.09.010 | |
| 10 | LI W, XIE J, XIN M, et al. An overlapping network community partition algorithm based on semi-supervised matrix factorization and random walk[J]. Expert Systems with Applications, 2018, 91: 277-285. 10.1016/j.eswa.2017.09.007 |
| 11 | CHENG J J, ZHANG W B, YANG H J, et al. A seed-expanding method based on TOPSIS for community detection in complex networks[J]. Complex, 2020, 2020: No.9017239. 10.1155/2020/9017239 |
| 12 | WANG X F, LIU G S, LI J H, et al. Locating structural centers: a density-based clustering method for community detection[J]. PloS ONE, 2017, 12(1): No.e0169355. 10.1371/journal.pone.0169355 |
| 13 | MA Y L, ZHAO Y K, WANG J W, et al. Modularity-based incremental label propagation algorithm for community detection[J]. Applied Sciences, 2020, 10(12): No.4060. 10.3390/app10124060 |
| 14 | WEISS R, VÉLEZ B, SHELDON M A. HyPursuit: a hierarchical network search engine that exploits content-link hypertext clustering[C]// Proceedings of the 7th ACM Conference on Hypertext. New York: ACM, 1996: 180-193. 10.1145/234828.234846 |
| 15 | 黄新宇,陈东明,任涛.多关系网络社团发现算法[J].东北大学学报(自然科学版),2018,39(10):1375-1379. |
| HUANG X Y, CHEN D M, REN T. Community discovery algorithm for multi-relationship networks[J]. Journal of Northeastern University (Natural Science), 2018, 39(10): 1375-1379. | |
| 16 | 邱少明,於涛,杜秀丽,等.基于节点多属性相似性聚类的社团划分算法[J]. 计算机工程, 2020, 46(7):84-90, 97. 10.19678/j.issn.1000-3428.0055070 |
| QIU S M, YU T, DU X L, et al. Community division algorithm based on similarity clustering of node multiple attribute[J]. Computer Engineering, 2020, 46(7): 84-90, 97. 10.19678/j.issn.1000-3428.0055070 | |
| 17 | BLONDEL V D, GUILLAUME J L, LAMBIOTTE R, et al. Fast unfolding of communities in large networks[J]. Journal of Statistical Mechanics: Theory and Experiment, 2008, 2008(10): No.P10008. 10.1088/1742-5468/2008/10/p10008 |
| 18 | NEWMAN M E J, GIRVAN M. Finding and evaluating community structure in networks[J]. Physical Review E, 2004, 69(2):026113. 10.1103/physreve.69.026113 |
| 19 | DANON L, DÍAZ-GUILERA A, DUCH J, et al. Comparing community structure identification[J]. Journal of Statistical Mechanics: Theory and Experiment, 2005, 2005(9): No.P09008. 10.1088/1742-5468/2005/09/p09008 |
| 20 | HUBERT L, ARABIE P. Comparing partitions[J]. Journal of Classification, 1985, 2(1): 193-218. 10.1007/bf01908075 |
| 21 | 郭世泽,陆哲明. 复杂网络基础理论[M]. 北京:科学出版社, 2012:29-33. |
| GUO S Z, LU Z M. Basic Theory of Complex Networks[M]. Beijing: Science Press, 2012: 29-33. | |
| 22 | NEWMAN M E J. Clustering and preferential attachment in growing networks[J]. Physical Review E, 2001, 64(2): No.025102. 10.1103/physreve.64.025102 |
| 23 | LEICHT E A, HOLME P, NEWMAN M E J. Vertex similarity in networks[J]. Physical Review E, 2006, 73(2): No.026120. 10.1103/physreve.73.026120 |
| 24 | 乔虹,田玉玲,马建芬. 基于多属性融合策略的复杂网络社团划分算法[J]. 科学技术与工程, 2018, 18(32): 51-57. 10.3969/j.issn.1671-1815.2018.32.009 |
| QIAO H, TIAN Y L, MA J F. Community detection algorithm based on multi-attribute fusion strategy[J]. Science Technology and Engineering, 2018, 18(32): 51-57. 10.3969/j.issn.1671-1815.2018.32.009 |
| [1] | 黄杰, 武瑞梓, 李均利. 高效的自适应复杂网络鲁棒性优化算法[J]. 《计算机应用》唯一官方网站, 2024, 44(11): 3530-3539. |
| [2] | 王中钰, 钱晓东. 基于改进期望最大化算法的供应链网络边连接规则优化[J]. 《计算机应用》唯一官方网站, 2024, 44(11): 3386-3395. |
| [3] | 李鹏, 王世林, 陈光武, 闫光辉. 基于改进的局部结构熵复杂网络重要节点挖掘[J]. 《计算机应用》唯一官方网站, 2023, 43(4): 1109-1114. |
| [4] | 温祥西, 彭娅婷, 毕可心, 衡宇铭, 吴明功. 基于最优样本集在线模糊最小二乘支持向量机的飞行冲突网络态势预测[J]. 《计算机应用》唯一官方网站, 2023, 43(11): 3632-3640. |
| [5] | 李占利, 李颖, 罗香玉, 罗颖骁. 基于Monte-Carlo迭代求解策略的局部社区发现算法[J]. 《计算机应用》唯一官方网站, 2023, 43(1): 104-110. |
| [6] | 孟昱煜, 郭静. 信息熵改进主成分分析模型的链路预测算法[J]. 《计算机应用》唯一官方网站, 2022, 42(9): 2823-2829. |
| [7] | 郝志刚, 秦丽. 基于多属性综合评价的食品安全标准引用网络重要节点发现方法[J]. 《计算机应用》唯一官方网站, 2022, 42(4): 1178-1185. |
| [8] | 胡军, 许正康, 刘立, 钟福金. 融合多粒度社区信息的网络嵌入方法[J]. 《计算机应用》唯一官方网站, 2022, 42(3): 663-670. |
| [9] | 陈广福, 王海波, 连雁平. 基于高阶自包含协同过滤的有向网络链路预测[J]. 《计算机应用》唯一官方网站, 2022, 42(10): 3060-3068. |
| [10] | 蔡彪, 李蕊岑, 吴媛媛. 相似性特征对链路预测的影响与增强[J]. 计算机应用, 2021, 41(9): 2569-2577. |
| [11] | 李亚芳, 梁烨, 冯韦玮, 祖宝开, 康玉健. 基于社区优化的深度网络嵌入方法[J]. 计算机应用, 2021, 41(7): 1956-1963. |
| [12] | 李萍, 汪芬, 陈祺东, 孙俊. 求解多目标社区发现问题的离散化随机漂移粒子群优化算法[J]. 计算机应用, 2021, 41(3): 803-811. |
| [13] | 陈献, 胡丽莹, 林晓炜, 陈黎飞. 基于核非负矩阵分解的有向图聚类算法[J]. 《计算机应用》唯一官方网站, 2021, 41(12): 3447-3454. |
| [14] | 郑文萍, 岳香豆, 杨贵. 基于随机游走的改进标签传播算法[J]. 计算机应用, 2020, 40(12): 3423-3429. |
| [15] | 成其伟, 陈启买, 贺超波, 刘海. 基于改进对称二值非负矩阵分解的重叠社区发现方法[J]. 计算机应用, 2020, 40(11): 3203-3210. |
| 阅读次数 | ||||||
|
全文 |
|
|||||
|
摘要 |
|
|||||