《计算机应用》唯一官方网站 ›› 2025, Vol. 45 ›› Issue (12): 3970-3977.DOI: 10.11772/j.issn.1001-9081.2024111619
收稿日期:2024-11-14
修回日期:2025-03-01
接受日期:2025-03-12
发布日期:2025-03-21
出版日期:2025-12-10
通讯作者:
叶威
作者简介:魏超(1996—),男,湖北武汉人,硕士研究生,主要研究方向:机器视觉、图像融合
Chao WEI, Wei YE(
), Guangjian SHENG, Lei ZHANG
Received:2024-11-14
Revised:2025-03-01
Accepted:2025-03-12
Online:2025-03-21
Published:2025-12-10
Contact:
Wei YE
About author:WEI Chao, born in 1996, M. S. candidate. His research interests include machine vision, image fusion.摘要:
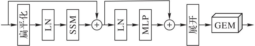
针对现有融合算法在复杂多变光照环境下存在的细节信息丢失、边缘退化和显著信息不明显等问题,提出一种基于梯度增强和文本引导的光照自适应图像融合算法。首先,构建基于梯度增强与线性空间方程的特征提取模块,在实现线性复杂度全局特征提取的同时增强边缘梯度信息;其次,通过嵌入场景描述文本引导融合网络在不同光照环境下生成不同风格的融合图像,提升了融合算法在复杂光照环境下的鲁棒性;最后,构建一种结合交叉注意力机制的梯度增强融合模块(GEFM),实现对多模态信息的梯度增强与融合。在3个公开数据集TNO、MSRS(MultiSpectral Road Scenarios)和LLVIP(Low-Light Visible-Infrared Paired)上的实验结果表明,所提算法相较于对比算法LRRNet(Low-Rank Representation Network)、CAMF(Class Activation Mapping Fusion)、DATFuse(Dual Attention Transformer Fusion)、UMF-CMGR(Unsupervised Misaligned Fusion via Cross-Modality image Generation and Registration)和GANMcC(GAN with Multi-classification Constraints)在5种评价指标均有所提高,其中空间频率(SF)和视觉信息保真度(VIF)指标分别提高了22%、59%、61%和31%、53%、37%,有效地减少了边缘模糊,而且融合图像在不同光照环境下都具有较高的清晰度和对比度。
中图分类号:
魏超, 叶威, 盛光健, 张蕾. 基于梯度增强和文本引导的光照自适应图像融合算法[J]. 计算机应用, 2025, 45(12): 3970-3977.
Chao WEI, Wei YE, Guangjian SHENG, Lei ZHANG. Light-adaptive image fusion algorithm based on gradient enhancement and text guidance[J]. Journal of Computer Applications, 2025, 45(12): 3970-3977.
| 数据集 | 算法 | EN | SF | AG | SD | VIF | Qabf |
|---|---|---|---|---|---|---|---|
| TNO | UMF-CMGR | 6.533 | 8.177 | 2.973 | 29.969 | 0.595 | 0.410 |
| GANMcC | 6.736 | 6.111 | 2.544 | 32.035 | 0.530 | 0.281 | |
| LRRNet | 6.991 | 9.510 | 3.762 | 0.564 | 0.353 | ||
| DATFuse | 6.551 | 10.046 | 3.697 | 28.351 | |||
| CAMF | 7.110 | 48.298 | 0.464 | 0.289 | |||
| 本文算法 | 11.352 | 4.317 | 39.285 | 0.833 | 0.621 | ||
| MSRS | UMF-CMGR | 5.058 | 6.033 | 1.738 | 16.889 | 0.308 | 0.232 |
| GANMcC | 5.226 | 1.835 | 24.349 | 0.682 | |||
| LRRNet | 5.183 | 6.088 | 1.692 | 20.323 | 0.436 | 0.308 | |
| DATFuse | 5.809 | 0.542 | |||||
| CAMF | 5.400 | 5.312 | 1.535 | 21.089 | 0.573 | 0.266 | |
| 本文算法 | 7.270 | 15.692 | 6.062 | 47.884 | 1.208 | 0.304 | |
| LLVIP | UMF-CMGR | 6.462 | 9.915 | 2.504 | 29.379 | 0.521 | 0.347 |
| GANMcC | 6.690 | 6.814 | 2.123 | 32.113 | 0.613 | 0.297 | |
| LRRNet | 6.145 | 9.108 | 2.467 | 24.867 | 0.564 | ||
| DATFuse | 0.514 | ||||||
| CAMF | 6.811 | 7.248 | 2.234 | 33.867 | 0.692 | 0.341 | |
| 本文算法 | 7.597 | 23.723 | 7.789 | 52.361 | 1.032 | 0.339 |
表1 不同数据集上的客观指标对比
Tab. 1 Comparison of objective metrics on different datasets
| 数据集 | 算法 | EN | SF | AG | SD | VIF | Qabf |
|---|---|---|---|---|---|---|---|
| TNO | UMF-CMGR | 6.533 | 8.177 | 2.973 | 29.969 | 0.595 | 0.410 |
| GANMcC | 6.736 | 6.111 | 2.544 | 32.035 | 0.530 | 0.281 | |
| LRRNet | 6.991 | 9.510 | 3.762 | 0.564 | 0.353 | ||
| DATFuse | 6.551 | 10.046 | 3.697 | 28.351 | |||
| CAMF | 7.110 | 48.298 | 0.464 | 0.289 | |||
| 本文算法 | 11.352 | 4.317 | 39.285 | 0.833 | 0.621 | ||
| MSRS | UMF-CMGR | 5.058 | 6.033 | 1.738 | 16.889 | 0.308 | 0.232 |
| GANMcC | 5.226 | 1.835 | 24.349 | 0.682 | |||
| LRRNet | 5.183 | 6.088 | 1.692 | 20.323 | 0.436 | 0.308 | |
| DATFuse | 5.809 | 0.542 | |||||
| CAMF | 5.400 | 5.312 | 1.535 | 21.089 | 0.573 | 0.266 | |
| 本文算法 | 7.270 | 15.692 | 6.062 | 47.884 | 1.208 | 0.304 | |
| LLVIP | UMF-CMGR | 6.462 | 9.915 | 2.504 | 29.379 | 0.521 | 0.347 |
| GANMcC | 6.690 | 6.814 | 2.123 | 32.113 | 0.613 | 0.297 | |
| LRRNet | 6.145 | 9.108 | 2.467 | 24.867 | 0.564 | ||
| DATFuse | 0.514 | ||||||
| CAMF | 6.811 | 7.248 | 2.234 | 33.867 | 0.692 | 0.341 | |
| 本文算法 | 7.597 | 23.723 | 7.789 | 52.361 | 1.032 | 0.339 |
| 模块 | EN | SF | AG | SD | VIF | Qabf |
|---|---|---|---|---|---|---|
| w/o GMamba | 6.813 | 9.706 | 3.554 | 38.853 | 0.857 | 0.560 |
| w/o attention | 6.917 | 10.387 | 3.961 | 38.908 | 0.849 | 0.548 |
| w/o fusion | 6.910 | 10.484 | 3.980 | 38.420 | 0.826 | 0.541 |
| w/o CLIP | 6.731 | 12.250 | 4.734 | 32.060 | 0.619 | 0.456 |
| 本文算法 | 6.926 | 11.352 | 4.318 | 39.285 | 0.834 | 0.621 |
表2 消融实验客观评价指标
Tab.2 Objective evaluation metrics in ablation experiments
| 模块 | EN | SF | AG | SD | VIF | Qabf |
|---|---|---|---|---|---|---|
| w/o GMamba | 6.813 | 9.706 | 3.554 | 38.853 | 0.857 | 0.560 |
| w/o attention | 6.917 | 10.387 | 3.961 | 38.908 | 0.849 | 0.548 |
| w/o fusion | 6.910 | 10.484 | 3.980 | 38.420 | 0.826 | 0.541 |
| w/o CLIP | 6.731 | 12.250 | 4.734 | 32.060 | 0.619 | 0.456 |
| 本文算法 | 6.926 | 11.352 | 4.318 | 39.285 | 0.834 | 0.621 |
| 实验 | EN | SF | AG | SD | VIF | Qabf |
|---|---|---|---|---|---|---|
| 实验1 | 6.818 | 9.561 | 3.564 | 34.407 | 0.858 | 0.589 |
| 实验2 | 6.709 | 11.070 | 3.961 | 39.502 | 0.652 | 0.610 |
| 实验3 | 6.917 | 11.480 | 3.980 | 38.420 | 0.826 | 0.619 |
| 实验4 | 6.925 | 11.352 | 4.317 | 39.285 | 0.833 | 0.621 |
表3 损失函数消融实验指标对比
Tab.3 Comparison of experimental metrics for loss function ablation
| 实验 | EN | SF | AG | SD | VIF | Qabf |
|---|---|---|---|---|---|---|
| 实验1 | 6.818 | 9.561 | 3.564 | 34.407 | 0.858 | 0.589 |
| 实验2 | 6.709 | 11.070 | 3.961 | 39.502 | 0.652 | 0.610 |
| 实验3 | 6.917 | 11.480 | 3.980 | 38.420 | 0.826 | 0.619 |
| 实验4 | 6.925 | 11.352 | 4.317 | 39.285 | 0.833 | 0.621 |
| 算法 | 模型大小/MB | 运行时间/s |
|---|---|---|
| UMF-CMGR | 10.90 | 0.05 |
| GANMcC | 0.21 | 0.07 |
| LRRNet | 0.07 | 0.02 |
| DATFuse | 7.22 | 0.01 |
| CAMF | 10.90 | 0.09 |
| 本文算法 | 479.30 | 0.28 |
表4 算法效率分析
Tab.4 Algorithm efficiency analysis
| 算法 | 模型大小/MB | 运行时间/s |
|---|---|---|
| UMF-CMGR | 10.90 | 0.05 |
| GANMcC | 0.21 | 0.07 |
| LRRNet | 0.07 | 0.02 |
| DATFuse | 7.22 | 0.01 |
| CAMF | 10.90 | 0.09 |
| 本文算法 | 479.30 | 0.28 |
| 噪声类型 | MI | Qabf |
|---|---|---|
| 不添加噪声 | 3.630 7 | 0.621 3 |
| Gaussian(var=10) | 3.047 4 | 0.711 9 |
| Gaussian(var=20) | 3.049 8 | 0.711 9 |
| Gaussian(var=30) | 3.049 0 | 0.711 9 |
| Salt(d=0.01) | 3.480 4 | 0.700 4 |
| Salt(d=0.02) | 3.715 0 | 0.737 2 |
| Salt(d=0.03) | 3.880 2 | 0.770 6 |
表5 不同噪声强度下的定量指标分析
Tab.5 Quantitative metric analysis under different noise intensities
| 噪声类型 | MI | Qabf |
|---|---|---|
| 不添加噪声 | 3.630 7 | 0.621 3 |
| Gaussian(var=10) | 3.047 4 | 0.711 9 |
| Gaussian(var=20) | 3.049 8 | 0.711 9 |
| Gaussian(var=30) | 3.049 0 | 0.711 9 |
| Salt(d=0.01) | 3.480 4 | 0.700 4 |
| Salt(d=0.02) | 3.715 0 | 0.737 2 |
| Salt(d=0.03) | 3.880 2 | 0.770 6 |
| [1] | MA J, MA Y, LI C. Infrared and visible image fusion methods and applications: a survey[J]. Information Fusion, 2019, 45: 153-178. |
| [2] | ZHANG H, XU H, TIAN X, et al. Image fusion meets deep learning: a survey and perspective[J]. Information Fusion, 2021, 76: 323-336. |
| [3] | 朱浩然,刘云清,张文颖. 基于对比度增强与多尺度边缘保持分解的红外与可见光图像融合[J]. 电子与信息学报, 2018, 40(6): 1294-1300. |
| ZHU H R, LIU Y Q, ZHANG W Y. Infrared and visible image fusion based on contrast enhancement and multi-scale edge-preserving decomposition[J]. Journal of Electronics and Information Technology, 2018, 40(6): 1294-1300. | |
| [4] | WU M, MA Y, FAN F, et al. Infrared and visible image fusion via joint convolutional sparse representation[J]. Journal of the Optical Society of America A, 2020, 37(7): 1105-1115. |
| [5] | LIU Z, FENG Y, CHEN H, et al. A fusion algorithm for infrared and visible based on guided filtering and phase congruency in NSST domain [J]. Optics and Lasers in Engineering, 2017, 97: 71-77. |
| [6] | LI H, WU X J, KITTLER J. MDLatLRR: a novel decomposition method for infrared and visible image fusion [J]. IEEE Transactions on Image Processing, 2020, 29: 4733-4746. |
| [7] | MA J, ZHOU Z, WANG B, et al. Infrared and visible image fusion based on visual saliency map and weighted least square optimization[J]. Infrared Physics and Technology, 2017, 82: 8-17. |
| [8] | LI H, WU X J. DenseFuse: a fusion approach to infrared and visible images [J]. IEEE Transactions on Image Processing, 2019, 28(5): 2614-2623. |
| [9] | LI H, WU X J, DURRANI T. NestFuse: an infrared and visible image fusion architecture based on nest connection and spatial/Channel attention models[J]. IEEE Transactions on Instrumentation and Measurement, 2020, 69(12): 9645-9656. |
| [10] | TANG L, YUAN J, ZHANG H, et al. PIAFusion: a progressive infrared and visible image fusion network based on illumination aware [J]. Information Fusion, 2022, 83/84: 79-92. |
| [11] | HU K, ZHANG Q, YUAN M, et al. SFDFusion: an efficient spatial-frequency domain fusion network for infrared and visible image fusion [C]// Proceedings of the 1st European Conference on Artificial Intelligence. Amsterdam: IOS Press, 2024: 482-489. |
| [12] | 李嘉元,程江华,刘通,等. 基于密集连接的红外可见光图像融合方法[J]. 计算机应用, 2023, 43(S2): 163-167. |
| LI J Y, CHENG J H, LIU T, et al. Infrared and visible light image fusion method based on dense connection[J]. Journal of Computer Applications, 2023, 43(S2): 163-167. | |
| [13] | MA J, YU W, LIANG P, et al. FusionGAN: a generative adversarial network for infrared and visible image fusion[J]. Information Fusion, 2019, 48: 11-26. |
| [14] | TANG H, LIU H, XU D, et al. AttentionGAN: unpaired image-to-image translation using attention-guided generative adversarial networks [J]. IEEE Transactions on Neural Networks and Learning Systems, 2023, 34(4): 1972-1987. |
| [15] | RONNEBERGER O, FISCHER P, BROX T. U-Net: convolutional networks for biomedical image segmentation [C]// Proceedings of the 2015 International Conference on Medical Image Computing and Computer-Assisted Intervention, LNCS 9351. Cham: Springer, 2015: 234-241. |
| [16] | GU A, DAO T. Mamba: linear-time sequence modeling with selective state spaces [EB/OL]. [2024-06-26]. . |
| [17] | RADFORD A, KIM J W, HALLACY C, et al. Learning transferable visual models from natural language supervision [C]// Proceedings of the 38th International Conference on Machine Learning. New York: JMLR.org, 2021: 8748-8763. |
| [18] | VASWANI A, SHAZEER N, PARMAR N, et al. Attention is all you need [C]// Proceedings of the 31st International Conference on Neural Information Processing Systems. Red Hook: Curran Associates Inc., 2017: 6000-6010. |
| [19] | TOET A. The TNO multiband image data collection [J]. Data in Brief, 2017, 15: 249-251. |
| [20] | JIA X, ZHU C, LI M, et al. LLVIP: a visible-infrared paired dataset for low-light vision [C]// Proceedings of the 2021 IEEE/CVF International Conference on Computer Vision Workshops. Piscataway: IEEE, 2021: 3489-3497. |
| [21] | LI H, XU T, WU X J, et al. LRRNet: a novel representation learning guided fusion network for infrared and visible images [J]. IEEE Transactions on Pattern Analysis and Machine Intelligence, 2023, 45(9): 11040-11052. |
| [22] | TANG L, CHEN Z, HUANG J, et al. CAMF: an interpretable infrared and visible image fusion network based on class activation mapping [J]. IEEE Transactions on Multimedia, 2024, 26: 4776-4791. |
| [23] | TANG W, HE F, LIU Y, et al. DATFuse: infrared and visible image fusion via dual attention transformer [J]. IEEE Transactions on Circuits and Systems for Video Technology, 2023, 33(7): 3159-3172. |
| [24] | WANG D, LIU J, FAN X, et al. Unsupervised misaligned infrared and visible image fusion via cross-modality image generation and registration[C]// Proceedings of the 31st International Joint Conference on Artificial Intelligence. California: ijcai.org, 2022: 3508-3515. |
| [25] | MA J, ZHANG H, SHAO Z, et al. GANMcC: a generative adversarial network with multiclassification constraints for infrared and visible image fusion[J]. IEEE Transactions on Instrumentation and Measurement, 2021, 70: No.5005014. |
| [26] | ZHANG X. Benchmarking and comparing multi-exposure image fusion algorithms [J]. Information Fusion, 2021, 74: 111-131. |
| [1] | 马英杰, 覃晶滢, 赵耿, 肖靖. 面向物联网图像的深度压缩感知网络及其混沌加密保护方法[J]. 《计算机应用》唯一官方网站, 2026, 46(1): 144-151. |
| [2] | 李亚男, 郭梦阳, 邓国军, 陈允峰, 任建吉, 原永亮. 基于多模态融合特征的并分支发动机寿命预测方法[J]. 《计算机应用》唯一官方网站, 2026, 46(1): 305-313. |
| [3] | 昝志辉, 王雅静, 李珂, 杨智翔, 杨光宇. 基于SAA-CNN-BiLSTM网络的多特征融合语音情感识别方法[J]. 《计算机应用》唯一官方网站, 2026, 46(1): 69-76. |
| [4] | 王丽芳, 任文婧, 郭晓东, 张荣国, 胡立华. 用于低剂量CT图像降噪的多路特征生成对抗网络[J]. 《计算机应用》唯一官方网站, 2026, 46(1): 270-279. |
| [5] | 李维刚, 邵佳乐, 田志强. 基于双注意力机制和多尺度融合的点云分类与分割网络[J]. 《计算机应用》唯一官方网站, 2025, 45(9): 3003-3010. |
| [6] | 王翔, 陈志祥, 毛国君. 融合局部和全局相关性的多变量时间序列预测方法[J]. 《计算机应用》唯一官方网站, 2025, 45(9): 2806-2816. |
| [7] | 吕景刚, 彭绍睿, 高硕, 周金. 复频域注意力和多尺度频域增强驱动的语音增强网络[J]. 《计算机应用》唯一官方网站, 2025, 45(9): 2957-2965. |
| [8] | 邓伊琳, 余发江. 基于LSTM和可分离自注意力机制的伪随机数生成器[J]. 《计算机应用》唯一官方网站, 2025, 45(9): 2893-2901. |
| [9] | 李进, 刘立群. 基于残差Swin Transformer的SAR与可见光图像融合[J]. 《计算机应用》唯一官方网站, 2025, 45(9): 2949-2956. |
| [10] | 敬超, 全育涛, 陈艳. 基于多层感知机-注意力模型的功耗预测算法[J]. 《计算机应用》唯一官方网站, 2025, 45(8): 2646-2655. |
| [11] | 林进浩, 罗川, 李天瑞, 陈红梅. 基于跨尺度注意力网络的胸部疾病分类方法[J]. 《计算机应用》唯一官方网站, 2025, 45(8): 2712-2719. |
| [12] | 周金, 李玉芝, 张徐, 高硕, 张立, 盛家川. 复杂电磁环境下的调制识别网络[J]. 《计算机应用》唯一官方网站, 2025, 45(8): 2672-2682. |
| [13] | 吴海峰, 陶丽青, 程玉胜. 集成特征注意力和残差连接的偏标签回归算法[J]. 《计算机应用》唯一官方网站, 2025, 45(8): 2530-2536. |
| [14] | 刘皓宇, 孔鹏伟, 王耀力, 常青. 基于多视角信息的行人检测算法[J]. 《计算机应用》唯一官方网站, 2025, 45(7): 2325-2332. |
| [15] | 赵小强, 柳勇勇, 惠永永, 刘凯. 基于改进时域卷积网络与多头自注意力机制的间歇过程质量预测模型[J]. 《计算机应用》唯一官方网站, 2025, 45(7): 2245-2252. |
| 阅读次数 | ||||||
|
全文 |
|
|||||
|
摘要 |
|
|||||