《计算机应用》唯一官方网站 ›› 2024, Vol. 44 ›› Issue (8): 2506-2513.DOI: 10.11772/j.issn.1001-9081.2023081208
收稿日期:2023-09-06
修回日期:2023-10-19
接受日期:2023-11-03
发布日期:2024-08-22
出版日期:2024-08-10
通讯作者:
张达敏
作者简介:杨乐(2001—),男,陕西咸阳人,硕士研究生,主要研究方向:无线传感器网络、群智能算法、机器学习基金资助:
Le YANG, Damin ZHANG(
), Qing HE, Jiaxin DENG, Fengqin ZUO
Received:2023-09-06
Revised:2023-10-19
Accepted:2023-11-03
Online:2024-08-22
Published:2024-08-10
Contact:
Damin ZHANG
About author:YANG Le, born in 2001, M. S. candidate. His research interests include wireless sensor network, swarm intelligence algorithm, machine learning.Supported by:摘要:
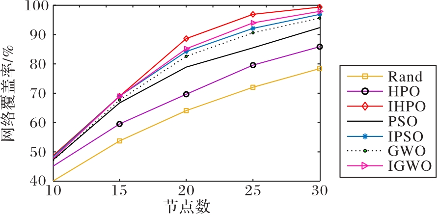
针对传统无线传感器网络(WSN)节点部署覆盖盲区大、分布不均等问题,提出一种改进的猎人猎物优化(IHPO)算法优化网络覆盖。首先,在猎物位置更新阶段,引入差分进化(DE)思想并借助动态比例因子进行交叉变异,从而增强种群信息交流;其次,在全局最优位置更新阶段,由α稳定分布提出自适应α变异对全局最优位置进行扰动,从而平衡不同时期算法的性能需求;最后,利用自适应α变异扰动的全局最优位置引导种群完成动态反向学习,从而增加种群的全局搜索能力和多样性。在WSN覆盖问题中,使用IHPO优化的网络节点分布更均匀、覆盖率更高,在传感器感知能力不足时能达到92.56%的覆盖率,对比原始HPO算法优化的节点提高了25.74%,对比改进粒子群优化(IPSO)算法、改进灰狼优化算法(IGWO)优化的节点分别提高了13.98%、16.41%。同时,IHPO算法优化的节点能耗更均衡,在路由测试中的网络工作时间可以延长至2 500轮次。
中图分类号:
杨乐, 张达敏, 何庆, 邓佳欣, 左锋琴. 改进猎人猎物优化算法在WSN覆盖中的应用[J]. 计算机应用, 2024, 44(8): 2506-2513.
Le YANG, Damin ZHANG, Qing HE, Jiaxin DENG, Fengqin ZUO. Application of improved hunter-prey optimization algorithm in WSN coverage[J]. Journal of Computer Applications, 2024, 44(8): 2506-2513.
| 算法 | 网络覆盖率/% | |||
|---|---|---|---|---|
| 最优值 | 最差值 | 平均值 | 标准差 | |
| IHPO | 96.78 | 92.94 | 94.81 | 0.008 3 |
| HPO | 81.86 | 74.60 | 79.59 | 0.018 8 |
| PSO | 85.44 | 81.41 | 82.56 | 0.018 0 |
| IPSO | 93.46 | 85.15 | 90.35 | 0.016 9 |
| GWO | 93.20 | 75.28 | 90.02 | 0.038 8 |
| IGWO | 95.39 | 90.83 | 92.69 | 0.020 5 |
表1 不同算法在场景1中的覆盖率
Tab. 1 Coverage rates of different algorithms in scenario one
| 算法 | 网络覆盖率/% | |||
|---|---|---|---|---|
| 最优值 | 最差值 | 平均值 | 标准差 | |
| IHPO | 96.78 | 92.94 | 94.81 | 0.008 3 |
| HPO | 81.86 | 74.60 | 79.59 | 0.018 8 |
| PSO | 85.44 | 81.41 | 82.56 | 0.018 0 |
| IPSO | 93.46 | 85.15 | 90.35 | 0.016 9 |
| GWO | 93.20 | 75.28 | 90.02 | 0.038 8 |
| IGWO | 95.39 | 90.83 | 92.69 | 0.020 5 |
| 算法 | 网络覆盖率/% | |||
|---|---|---|---|---|
| 最优值 | 最差值 | 平均值 | 标准差 | |
| IHPO | 93.98 | 91.22 | 92.56 | 0.018 5 |
| HPO | 75.36 | 71.52 | 73.61 | 0.007 9 |
| PSO | 72.03 | 69.38 | 71.19 | 0.008 2 |
| IPSO | 90.58 | 73.56 | 81.21 | 0.032 2 |
| GWO | 72.23 | 69.38 | 70.38 | 0.007 4 |
| IGWO | 89.14 | 72.68 | 79.52 | 0.042 0 |
表2 不同算法在场景2中的覆盖率
Tab. 2 Coverage rates of different algorithms in scenario two
| 算法 | 网络覆盖率/% | |||
|---|---|---|---|---|
| 最优值 | 最差值 | 平均值 | 标准差 | |
| IHPO | 93.98 | 91.22 | 92.56 | 0.018 5 |
| HPO | 75.36 | 71.52 | 73.61 | 0.007 9 |
| PSO | 72.03 | 69.38 | 71.19 | 0.008 2 |
| IPSO | 90.58 | 73.56 | 81.21 | 0.032 2 |
| GWO | 72.23 | 69.38 | 70.38 | 0.007 4 |
| IGWO | 89.14 | 72.68 | 79.52 | 0.042 0 |
| 参数名称 | 值 |
|---|---|
| 基站坐标/(m,m) | (50,50) |
| 节点初始能量/J | 1 |
| 自由空间能耗系/(pJ·bit·m-2) | 10 |
| 多路衰减能耗系数/(pJ·bit·m-4) | 0.001 3 |
| 处理单位数据能耗/(nJ·bit-1) | 50 |
| 数据包大小/bit | 4 000 |
| 控制信息大小/bit | 200 |
| 簇头概率 | 0.1 |
| 最大运行轮次 | 2 500 |
表3 LEACH协议参数
Tab. 3 Parameters of LEACH protocol
| 参数名称 | 值 |
|---|---|
| 基站坐标/(m,m) | (50,50) |
| 节点初始能量/J | 1 |
| 自由空间能耗系/(pJ·bit·m-2) | 10 |
| 多路衰减能耗系数/(pJ·bit·m-4) | 0.001 3 |
| 处理单位数据能耗/(nJ·bit-1) | 50 |
| 数据包大小/bit | 4 000 |
| 控制信息大小/bit | 200 |
| 簇头概率 | 0.1 |
| 最大运行轮次 | 2 500 |
| 1 | SRINIVAS M N, MADHUSUDANAN V, MURTY A V S N, et al. A review article on wireless sensor networks in view of e-epidemic models[J]. Wireless Personal Communications, 2021, 120(1): 95-111. |
| 2 | LIU R, MO Y. Performance of a novel enhanced sparrow search algorithm for engineering design process: coverage optimization in wireless sensor network[J]. Processes, 2022, 10(9): No.1691. |
| 3 | HE Q, LAN Z, ZHANG D, et al. Improved marine predator algorithm for wireless sensor network coverage optimization problem[J]. Sustainability, 2022, 14(16): No.9944. |
| 4 | WANG J, JU C, GAO Y, et al. A PSO based energy efficient coverage control algorithm for wireless sensor networks[J]. Computers, Materials and Continua, 2018, 56(3):433-446. |
| 5 | TUBA E, TUBA M, BEKO M. Mobile wireless sensor networks coverage maximization by firefly algorithm[C]// Proceedings of the 27th International Conference on Radioelektronika. Piscataway: IEEE, 2017:1-5. |
| 6 | MIRJALILI S, MIRJALILI S M, LEWIS A. Grey wolf optimizer[J]. Advances in Engineering Software, 2014, 69:46-61. |
| 7 | 罗鑫. 基于改进粒子群算法的红外WSN覆盖研究[J]. 激光与红外, 2023, 53(2):289-295. |
| LUO X. Research on infrared WSN coverage based on improved particle swarm algorithm[J]. Laser and Infrared, 2023, 53(2):289-295. | |
| 8 | MIAO Z, YUAN X, ZHOU F, et al. Grey wolf optimizer with an enhanced hierarchy and its application to the wireless sensor network coverage optimization problem[J]. Applied Soft Computing, 2020, 96: No.10662. |
| 9 | ZHU F, WANG W. A coverage optimization method for WSNs based on the improved weed algorithm[J]. Sensors, 2021, 21(17): No.5869. |
| 10 | 范星泽,禹梅. 改进灰狼算法的无线传感器网络覆盖优化[J]. 计算机科学, 2022, 49(6A):628-631. |
| FAN X Z, YU M. Coverage optimization of WSN based on improved grey wolf optimizer[J]. Computer Science, 2022, 49(6A):628-631. | |
| 11 | NARUEI I, KEYNIA F, SABBAGH MOLAHOSSEINI A. Hunter-prey optimization: algorithm and applications[J]. Soft Computing, 2022, 26(3):1279-1314. |
| 12 | 高雨虹,曲昭伟,宋现敏. 基于猎人猎物优化与双向长短时记忆组合模型的汽车出车率预测[J]. 交通运输系统工程与信息, 2023, 23(1):198-206, 264. |
| GAO Y H, QU Z W, SONG X M. Car operation rate prediction based on combination model of hunter-prey optimizer algorithm and bi-directional long short-term memory neural network[J]. Journal of Transportation Systems Engineering and Information Technology, 2023, 23(1):198-206, 264. | |
| 13 | 鲁英达,张菁. 基于改进猎人猎物算法的VMD-KELM短期负荷预测[J]. 电气工程学报, 2023, 18(4):228-238. |
| LU Y D, ZHANG J. VMD-KEM short-term load prediction based on improved hunter prey optimizer[J]. Journal of Electrical Engineering, 2023, 18(4):228-238. | |
| 14 | STORN R, PRICE K. Differential evolution: a simple and efficient heuristic for global optimization over continuous spaces[J]. Journal of Global Optimization, 1997, 11:341-359. |
| 15 | LIANG J, TIAN M, LIU Y, et al. Coverage optimization of soil moisture wireless sensor networks based on adaptive Cauchy variant butterfly optimization algorithm[J]. Scientific Reports, 2022, 12(4): No.11867. |
| 16 | LIU X, TIAN M, ZHOU J, et al. An efficient coverage method for SEMWSNs based on adaptive chaotic Gaussian variant snake optimization algorithm[J]. Mathematical Biosciences and Engineering, 2023, 20(2):3191-3215. |
| 17 | 许杰,汤显峰. 融合莱维飞行与混合变异的蝠鲼觅食优化传感器节点覆盖策略[J]. 传感技术学报, 2023, 36(4):635-645. |
| XU J, TANG X F. Sensor nodes coverage strategy based on improved manta ray foraging optimization with Levy flight and hybrid mutation[J]. Chinese Journal of Sensors and Actuators, 2023, 36(4):635-645. | |
| 18 | 宋婷婷,张达敏,王依柔,等. 基于改进鲸鱼优化算法的WSN覆盖优化[J]. 传感技术学报, 2020, 33(3):415-422. |
| SONG T T, ZHANG D M, WANG Y R, et al. WSN coverage optimization based on improved whale optimization algorithm[J]. Chinese Journal of Sensors and Actuators, 2020, 33(3):415-422. | |
| 19 | CHEN W, YANG P, ZHAO W, et al. Improved ant lion optimizer for coverage optimization in wireless sensor networks[J]. Wireless Communications and Mobile Computing, 2022, 2022: No.8808575. |
| 20 | 吴亮,赵晴峰,汤显峰. 基于动态分级蝴蝶优化算法的WSN节点覆盖优化[J]. 传感技术学报, 2022, 35(5):650-659. |
| WU L, ZHAO Q F, TANG X F. Nodes coverage optimization of wireless sensor network based on dynamic leveling butterfly optimization algorithm[J]. Chinese Journal of Sensors and Actuators, 2022, 35(5):650-659. |
| [1] | 冷强奎, 孙薛梓, 孟祥福. 基于样本势和噪声进化的不平衡数据过采样方法[J]. 《计算机应用》唯一官方网站, 2024, 44(8): 2466-2475. |
| [2] | 魏凤凤, 陈伟能. 分布式数据驱动的多约束进化优化算法[J]. 《计算机应用》唯一官方网站, 2024, 44(5): 1393-1400. |
| [3] | 黄亚伟, 钱雪忠, 宋威. 基于双档案种群大小自适应方法的改进差分进化算法[J]. 《计算机应用》唯一官方网站, 2024, 44(12): 3844-3853. |
| [4] | 王波, 王浩, 杜晓昕, 郑晓东, 周薇. 基于亚群和差分进化的混合蜻蜓算法[J]. 《计算机应用》唯一官方网站, 2023, 43(9): 2868-2876. |
| [5] | 林剑, 叶璟轩, 刘雯雯, 邵晓雯. 求解带容量约束车辆路径问题的多模态差分进化算法[J]. 《计算机应用》唯一官方网站, 2023, 43(7): 2248-2254. |
| [6] | 高乾顺, 范纯龙, 李炎达, 滕一平. 基于差分进化的神经网络通用扰动生成方法[J]. 《计算机应用》唯一官方网站, 2023, 43(11): 3436-3442. |
| [7] | 徐小平, 唐阳丽, 王峰. 求解旅行商问题的人工协同搜索算法[J]. 《计算机应用》唯一官方网站, 2022, 42(6): 1837-1843. |
| [8] | 聂青青, 万定生, 朱跃龙, 李致家, 姚成. 基于时域卷积网络的水文模型[J]. 《计算机应用》唯一官方网站, 2022, 42(6): 1756-1761. |
| [9] | 代荣荣, 李宏慧, 付学良. 基于差分进化融合蚁群算法的数据中心流量调度机制[J]. 《计算机应用》唯一官方网站, 2022, 42(12): 3863-3869. |
| [10] | 张祥飞, 鲁宇明, 张平生. 基于协同进化的约束多目标优化算法[J]. 计算机应用, 2021, 41(7): 2012-2018. |
| [11] | 蔡瑞光, 张德生, 肖燕婷. 参数独立的加权局部均值伪近邻分类算法[J]. 计算机应用, 2021, 41(6): 1694-1700. |
| [12] | 贾鹤鸣, 姜子超, 李瑶, 孙康健. 基于改进斑点鬣狗优化算法的同步优化特征选择[J]. 计算机应用, 2021, 41(5): 1290-1298. |
| [13] | 邵志胜, 张国富, 苏兆品, 李磊. 基于软件体系结构和广义差分进化的测试资源动态分配算法[J]. 《计算机应用》唯一官方网站, 2021, 41(12): 3692-3701. |
| [14] | 薛锋, 史旭华, 史非凡. 基于代理模型的差分进化约束优化[J]. 计算机应用, 2020, 40(4): 1091-1096. |
| [15] | 赵志学, 李夏苗, 周鲜成. 考虑拥堵区域的多车型绿色车辆路径问题优化[J]. 计算机应用, 2020, 40(3): 883-890. |
| 阅读次数 | ||||||
|
全文 |
|
|||||
|
摘要 |
|
|||||