《计算机应用》唯一官方网站 ›› 2023, Vol. 43 ›› Issue (7): 1987-1993.DOI: 10.11772/j.issn.1001-9081.2022071121

所属专题: 第39届CCF中国数据库学术会议(NDBC 2022)

• 第39届CCF中国数据库学术会议(NDBC 2022) •    下一篇

面向动态网络的介数中心度并行算法

刘震宇, 王朝坤(), 郭高扬   

  1. 清华大学 软件学院,北京 100084
  • 收稿日期:2022-07-12 修回日期:2022-08-01 接受日期:2022-08-11 发布日期:2023-07-20 出版日期:2023-07-10
  • 通讯作者: 王朝坤
  • 作者简介:刘震宇(1999—),男,河南南阳人,硕士研究生,CCF会员,主要研究方向:社交网络、社区发现;
    王朝坤(1976—),男,江苏东台人,副教授,博士,CCF高级会员,主要研究方向:社交网络分析、图数据管理、大数据系统;
    郭高扬(1994—),男,山西运城人,博士研究生,主要研究方向:社交网络、图神经网络、知识图谱构建。
  • 基金资助:
    国家自然科学基金资助项目(61872207)

Parallel algorithm of betweenness centrality for dynamic networks

Zhenyu LIU, Chaokun WANG(), Gaoyang GUO   

  1. School of Software,Tsinghua University,Beijing 100084,China
  • Received:2022-07-12 Revised:2022-08-01 Accepted:2022-08-11 Online:2023-07-20 Published:2023-07-10
  • Contact: Chaokun WANG
  • About author:LIU Zhenyu, born in 1999, M. S. candidate. His research interests include social network, community detection.
    WANG Chaokun, born in 1976, Ph. D., associate professor. His research interests include social network analysis, graph data management, big data system.
    GUO Gaoyang, born in 1994, Ph. D. candidate. His research interests include social network, graph neural network, knowledge graph construction.
  • Supported by:
    National Natural Science Foundation of China(61872207)

摘要:

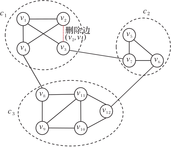
介数中心度是评价图中节点重要性的一项常用指标,然而在大规模动态图中介数中心度的更新效率很难满足应用需求。随着多核技术的发展,算法并行化已成为解决该问题的有效手段之一。因此,提出一种面向动态网络的介数中心度并行算法(PAB)。首先,通过社区过滤、等距剪枝和分类筛选等操作减少了冗余点对的时间开销;然后,基于对算法确定性的分析和处理实现了并行化。在真实数据集和合成数据集上进行了对比实验,结果显示在添加边更新时PAB的更新效率为并行算法中最新的batch-iCENTRAL的4倍。可见,所提算法能够有效提高动态网络中介数中心度的更新效率。

关键词: 介数中心度, 动态网络, 最短距离, 并行算法, 社区结构

Abstract:

Betweenness centrality is a common metric for evaluating the importance of nodes in a graph. However, the update efficiency of betweenness centrality in large-scale dynamic graphs is not high enough to meet the application requirements. With the development of multi-core technology, algorithm parallelization has become one of the effective ways to solve this problem. Therefore, a Parallel Algorithm of Betweenness centrality for dynamic networks (PAB) was proposed. Firstly, the time cost of redundant point pairs was reduced through operations such as community filtering, equidistant pruning and classification screening. Then, the determinacy of the algorithm was analyzed and processed to realize parallelization. Comparison experiments were conducted on real datasets and synthetic datasets, and the results show that the update efficiency of PAB is 4 times that of the latest batch-iCENTRAL algorithm on average when adding edges. It can be seen that the proposed algorithm can improve the update efficiency of betweenness centrality in dynamic networks effectively.

Key words: betweenness centrality, dynamic network, shortest distance, parallel algorithm, community structure

中图分类号: