《计算机应用》唯一官方网站 ›› 2024, Vol. 44 ›› Issue (1): 269-277.DOI: 10.11772/j.issn.1001-9081.2023010012
所属专题: 先进计算
收稿日期:2023-01-06
修回日期:2023-03-26
接受日期:2023-03-29
发布日期:2023-06-06
出版日期:2024-01-10
通讯作者:
马勇健
作者简介:史旭华(1967—),女,浙江宁波人,教授,博士,主要研究方向:系统建模与优化;基金资助:
Yongjian MA(
), Xuhua SHI, Peiyao WANG
Received:2023-01-06
Revised:2023-03-26
Accepted:2023-03-29
Online:2023-06-06
Published:2024-01-10
Contact:
Yongjian MA
About author:SHI Xuhua, born in 1967, Ph. D., professor. Her research interests include system modeling and optimization.Supported by:摘要:
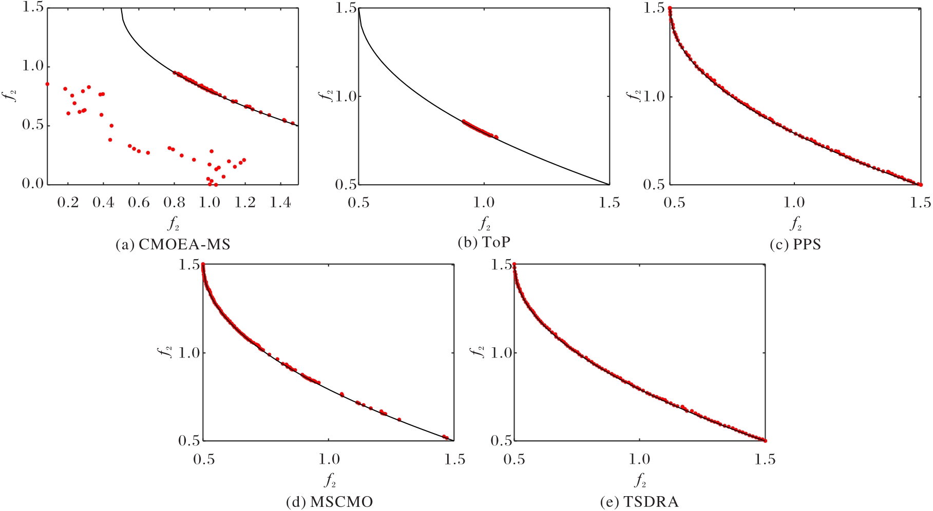
解决约束多目标优化问题(CMOP)的难点在于平衡目标优化和约束满足的同时兼顾解集的收敛性和多样性。为解决具有大型不可行区域和较小可行区域的复杂约束多目标优化问题,提出一种基于两阶段搜索与动态资源分配的约束多目标进化算法(TSDRA)。该算法在第一阶段通过忽略约束跨越不可行区域;然后在第二阶段通过动态分配两种计算资源协调局部开发和全局探索,兼顾算法的收敛性和多样性。在LIRCMOP和MW系列测试问题上进行的仿真实验结果表明,与四个代表性的算法CMOEA-MS(Constrained Multi-Objective Evolutionary Algorithm with Multiple Stages)、ToP(Two-phase)、PPS(Push and Pull Search)和MSCMO(Multi Stage Constrained Multi-Objective evolutionary algorithm)相比,所提算法在反转世代距离(IGD)和超体积(HV)上得到了更优异的结果。在LIRCMOP系列测试问题上,TSDRA获得了10个最佳的IGD值和9个最佳的HV值;在MW系列测试问题上,TSDRA获得了9个最佳的IGD值和10个最佳的HV值,表明所提算法可以更有效地解决具有大型不可行区域和较小可行区域的问题。
中图分类号:
马勇健, 史旭华, 王佩瑶. 基于两阶段搜索与动态资源分配的约束多目标进化算法[J]. 计算机应用, 2024, 44(1): 269-277.
Yongjian MA, Xuhua SHI, Peiyao WANG. Constrained multi-objective evolutionary algorithm based on two-stage search and dynamic resource allocation[J]. Journal of Computer Applications, 2024, 44(1): 269-277.
图2 TSDRA流程输入 种群规模N,最大迭代次数Tmax。输出 最终种群 At。1) 初始化规模为N的种群 Pt 和档案 At2) 将当前搜索阶段stage设置为14) 判断是否满足达到切换搜索阶段的条件,如果满足将stage设置为26) 从种群 Pt 中随机选择N个父代产生N个子代7) 更新种群 Pt 和档案 At10) 从进化种群 Et 中随机选择N个父代产生N个子代11) 更新种群 Pt 和档案 At
Fig. 2 Flowchat of TSDRA3) while t <= Tmax5) if stage == 18) else9) Et = randperm( At, Nt ) + randperm( Pt, N-Nt)12) end if13) t = t +114) end while
| 问题 | M | CMOEA-MS | ToP | PPS | MSCMO | TSDRA |
|---|---|---|---|---|---|---|
| LIRCMOP1 | 2 | 3.259 4E-1(4.89E-2) | 3.075 3E-1(2.43E-2) | 1.076 0E-2(8.46E-3) | 2.842 5E-2(2.15E-2) | 7.974 6E-3(1.38E-3) |
| LIRCMOP2 | 2 | 2.751 9E-1(3.41E-2) | 2.730 6E-1(2.18E-2) | 6.597 9E-3(9.35E-4) | 1.197 1E-2(1.02E-2) | 5.070 9E-3(2.25E-4) |
| LIRCMOP3 | 2 | 3.092 8E-1(4.81E-2) | 3.378 8E-1(1.89E-2) | 2.426 4E-2(4.06E-2) | 5.082 1E-2(3.95E-2) | 3.290 8E-3(5.32E-4) |
| LIRCMOP4 | 2 | 2.901 7E-1(3.36E-2) | 3.168 1E-1(1.20E-2) | 4.198 3E-2(5.47E-2) | 4.720 3E-2(2.89E-2) | 2.930 1E-3(2.44E-4) |
| LIRCMOP5 | 2 | 3.035 8E-1(5.07E-2) | 1.130 6E+0(1.97E-1) | 6.8897E-3(7.09E-4)+ | 3.574 0E-1(5.41E-1) | 7.709 1E-3(4.11E-3) |
| LIRCMOP6 | 2 | 3.563 0E-1(6.26E-2) | 1.289 4E+0(2.17E-1) | 7.362 3E-3(8.08E-4) | 2.221 8E-1(4.70E-1) | 5.658 3E-3(2.39E-4) |
| LIRCMOP7 | 2 | 1.194 8E-1(3.03E-2) | 1.033 7E+0(8.10E-1) | 1.106 3E-1(3.56E-2) | 1.451 4E-2(2.77E-2) | 7.230 6E-3(3.16E-4) |
| LIRCMOP8 | 2 | 1.714 4E-1(5.15E-2) | 1.485 0E+0(5.17E-1) | 8.855 2E-2(7.28E-2) | 1.210 6E-2(2.49E-2) | 7.247 2E-3(4.14E-4) |
| LIRCMOP9 | 2 | 8.320 1E-1(2.81E-1) | 5.174 9E-1(1.31E-1) | 3.762 6E-1(4.58E-2) | 9.6915E-2(5.74E-2) | 1.335 3E-1(1.70E-1) |
| LIRCMOP10 | 2 | 3.593 5E-1(1.34E-1) | 3.652 6E-1(8.41E-2) | 1.366 6E-2(3.79E-2) | 1.984 4E-2(7.38E-2) | 9.342 2E-3(2.02E-3) |
| LIRCMOP11 | 2 | 2.206 5E-1(9.94E-2) | 3.543 6E-1(8.31E-2) | 2.075 9E-1(1.17E-1) | 1.902 2E-2(3.53E-2) | 5.125 5E-3(8.51E-4) |
| LIRCMOP12 | 2 | 2.985 1E-1(1.30E-1) | 2.816 4E-1(9.79E-2) | 1.374 7E-1(4.50E-2) | 1.166 6E-1(8.04E-2) | 3.296 5E-2(5.61E-2) |
| LIRCMOP13 | 3 | 9.2702E-2(9.47E-4)+ | 1.283 7E+0(1.38E-1) | 1.277 1E-1(4.12E-3) | 1.181 3E-1(2.01E-3) | 1.085 3E-1(1.93E-3) |
| LIRCMOP14 | 3 | 9.4801E-2(8.89E-4)+ | 1.254 1E+0(1.53E-1) | 1.178 2E-1(3.71E-3) | 1.031 1E-1(2.13E-3) | 9.877 5E-2(1.40E-3) |
| +/方正汇总行 | 2/12/0 | 0/14/0 | 1/12/1 | 0/11/3 |
表1 五种算法在LIRCMOP测试函数上IGD的平均值和标准差
Tab. 1 Average values and standard deviations of IGD on LIRCMOP test functions of five algorithms
| 问题 | M | CMOEA-MS | ToP | PPS | MSCMO | TSDRA |
|---|---|---|---|---|---|---|
| LIRCMOP1 | 2 | 3.259 4E-1(4.89E-2) | 3.075 3E-1(2.43E-2) | 1.076 0E-2(8.46E-3) | 2.842 5E-2(2.15E-2) | 7.974 6E-3(1.38E-3) |
| LIRCMOP2 | 2 | 2.751 9E-1(3.41E-2) | 2.730 6E-1(2.18E-2) | 6.597 9E-3(9.35E-4) | 1.197 1E-2(1.02E-2) | 5.070 9E-3(2.25E-4) |
| LIRCMOP3 | 2 | 3.092 8E-1(4.81E-2) | 3.378 8E-1(1.89E-2) | 2.426 4E-2(4.06E-2) | 5.082 1E-2(3.95E-2) | 3.290 8E-3(5.32E-4) |
| LIRCMOP4 | 2 | 2.901 7E-1(3.36E-2) | 3.168 1E-1(1.20E-2) | 4.198 3E-2(5.47E-2) | 4.720 3E-2(2.89E-2) | 2.930 1E-3(2.44E-4) |
| LIRCMOP5 | 2 | 3.035 8E-1(5.07E-2) | 1.130 6E+0(1.97E-1) | 6.8897E-3(7.09E-4)+ | 3.574 0E-1(5.41E-1) | 7.709 1E-3(4.11E-3) |
| LIRCMOP6 | 2 | 3.563 0E-1(6.26E-2) | 1.289 4E+0(2.17E-1) | 7.362 3E-3(8.08E-4) | 2.221 8E-1(4.70E-1) | 5.658 3E-3(2.39E-4) |
| LIRCMOP7 | 2 | 1.194 8E-1(3.03E-2) | 1.033 7E+0(8.10E-1) | 1.106 3E-1(3.56E-2) | 1.451 4E-2(2.77E-2) | 7.230 6E-3(3.16E-4) |
| LIRCMOP8 | 2 | 1.714 4E-1(5.15E-2) | 1.485 0E+0(5.17E-1) | 8.855 2E-2(7.28E-2) | 1.210 6E-2(2.49E-2) | 7.247 2E-3(4.14E-4) |
| LIRCMOP9 | 2 | 8.320 1E-1(2.81E-1) | 5.174 9E-1(1.31E-1) | 3.762 6E-1(4.58E-2) | 9.6915E-2(5.74E-2) | 1.335 3E-1(1.70E-1) |
| LIRCMOP10 | 2 | 3.593 5E-1(1.34E-1) | 3.652 6E-1(8.41E-2) | 1.366 6E-2(3.79E-2) | 1.984 4E-2(7.38E-2) | 9.342 2E-3(2.02E-3) |
| LIRCMOP11 | 2 | 2.206 5E-1(9.94E-2) | 3.543 6E-1(8.31E-2) | 2.075 9E-1(1.17E-1) | 1.902 2E-2(3.53E-2) | 5.125 5E-3(8.51E-4) |
| LIRCMOP12 | 2 | 2.985 1E-1(1.30E-1) | 2.816 4E-1(9.79E-2) | 1.374 7E-1(4.50E-2) | 1.166 6E-1(8.04E-2) | 3.296 5E-2(5.61E-2) |
| LIRCMOP13 | 3 | 9.2702E-2(9.47E-4)+ | 1.283 7E+0(1.38E-1) | 1.277 1E-1(4.12E-3) | 1.181 3E-1(2.01E-3) | 1.085 3E-1(1.93E-3) |
| LIRCMOP14 | 3 | 9.4801E-2(8.89E-4)+ | 1.254 1E+0(1.53E-1) | 1.178 2E-1(3.71E-3) | 1.031 1E-1(2.13E-3) | 9.877 5E-2(1.40E-3) |
| +/方正汇总行 | 2/12/0 | 0/14/0 | 1/12/1 | 0/11/3 |
| 问题 | M | CMOEA-MS | ToP | PPS | MSCMO | TSDRA |
|---|---|---|---|---|---|---|
| LIRCMOP1 | 2 | 1.104 0E-1(1.41E-2) | 1.108 9E-1(1.05E-2) | 2.359 8E-1(2.26E-3) | 2.233 1E-1(1.33E-2) | 2.372 6E-1(2.94E-4) |
| LIRCMOP2 | 2 | 2.285 1E-1(1.36E-2) | 2.217 8E-1(1.65E-2) | 3.594 3E-1(4.14E-4) | 3.561 0E-1(6.29E-3) | 3.602 0E-1(1.78E-4) |
| LIRCMOP3 | 2 | 1.027 9E-1(1.33E-2) | 9.302 7E-2(6.08E-3) | 1.986 3E-1(1.63E-2) | 1.867 1E-1(1.39E-2) | 2.078 5E-1(4.69E-4) |
| LIRCMOP4 | 2 | 1.974 1E-1(1.45E-2) | 1.840 8E-1(1.20E-2) | 3.003 9E-1(2.31E-2) | 2.961 8E-1(1.21E-2) | 3.169 9E-1(2.83E-4) |
| LIRCMOP5 | 2 | 1.547 2E-1(2.18E-2) | 8.775 9E-3(4.81E-2) | 2.915 7E-1(3.18E-4)+ | 2.027 9E-1(1.35E-1) | 2.905 4E-1(5.66E-4) |
| LIRCMOP6 | 2 | 1.097 3E-1(7.05E-3) | 3.805 9E-3(1.45E-2) | 1.971 0E-1(2.17E-4)+ | 1.608 2E-1(7.32E-2) | 1.969 6E-1(1.56E-4) |
| LIRCMOP7 | 2 | 2.488 5E-1(9.05E-3) | 1.100 6E-1(1.37E-1) | 2.513 3E-1(1.39E-2) | 2.909 8E-1(1.11E-2) | 2.944 9E-1(1.38E-4) |
| LIRCMOP8 | 2 | 2.389 2E-1(1.27E-1) | 3.279 6E-2(8.59E-2) | 2.632 0E-1(2.25E-2) | 2.923 2E-1(9.70E-3) | 2.944 5E-1(3.81E-4) |
| LIRCMOP9 | 2 | 2.921 0E-1(6.78E-2) | 3.440 9E-1(8.21E-2) | 4.531 2E-1(2.61E-2) | 5.314 0E-1(3.74E-2) | 5.086 2E-1(7.17E-2) |
| LIRCMOP10 | 2 | 5.254 4E-1(6.97E-2) | 5.181 9E-1(5.00E-2) | 7.035 2E-1(1.76E-2) | 6.986 6E-1(3.93E-2) | 7.050 6E-1(5.95E-3) |
| LIRCMOP11 | 2 | 5.955 5E-1(5.80E-2) | 4.638 6E-1(6.66E-2) | 5.658 0E-1(7.58E-2) | 6.852 0E-1(2.03E-2) | 6.924 0E-1(5.70E-4) |
| LIRCMOP12 | 2 | 4.833 6E-1(5.88E-2) | 4.781 8E-1(5.00E-2) | 5.598 4E-1(2.02E-2) | 5.638 2E-1(3.98E-2) | 6.051 1E-1(3.02E-2) |
| LIRCMOP13 | 3 | 5.563 5E-1(1.45E-3)+ | 1.121 4E-2(2.69E-2) | 5.195 9E-1(4.07E-3)+ | 5.109 5E-1(2.73E-3) | 5.168 8E-1(6.91E-3) |
| LIRCMOP14 | 3 | 5.554 9E-1(9.80E-4)+ | 1.259 9E-2(4.02E-2) | 5.320 1E-1(4.06E-3) | 5.399 0E-1(2.46E-3) | 5.439 5E-1(2.35E-3) |
| +/方正汇总行 | 2/12/0 | 0/14/0 | 3/11/0 | 0/12/2 |
表2 五种算法在LIRCMOP测试函数上HV的平均值和标准差
Tab. 2 Average values and standard deviations of HV on LIRCMOP test functions of five algorithms
| 问题 | M | CMOEA-MS | ToP | PPS | MSCMO | TSDRA |
|---|---|---|---|---|---|---|
| LIRCMOP1 | 2 | 1.104 0E-1(1.41E-2) | 1.108 9E-1(1.05E-2) | 2.359 8E-1(2.26E-3) | 2.233 1E-1(1.33E-2) | 2.372 6E-1(2.94E-4) |
| LIRCMOP2 | 2 | 2.285 1E-1(1.36E-2) | 2.217 8E-1(1.65E-2) | 3.594 3E-1(4.14E-4) | 3.561 0E-1(6.29E-3) | 3.602 0E-1(1.78E-4) |
| LIRCMOP3 | 2 | 1.027 9E-1(1.33E-2) | 9.302 7E-2(6.08E-3) | 1.986 3E-1(1.63E-2) | 1.867 1E-1(1.39E-2) | 2.078 5E-1(4.69E-4) |
| LIRCMOP4 | 2 | 1.974 1E-1(1.45E-2) | 1.840 8E-1(1.20E-2) | 3.003 9E-1(2.31E-2) | 2.961 8E-1(1.21E-2) | 3.169 9E-1(2.83E-4) |
| LIRCMOP5 | 2 | 1.547 2E-1(2.18E-2) | 8.775 9E-3(4.81E-2) | 2.915 7E-1(3.18E-4)+ | 2.027 9E-1(1.35E-1) | 2.905 4E-1(5.66E-4) |
| LIRCMOP6 | 2 | 1.097 3E-1(7.05E-3) | 3.805 9E-3(1.45E-2) | 1.971 0E-1(2.17E-4)+ | 1.608 2E-1(7.32E-2) | 1.969 6E-1(1.56E-4) |
| LIRCMOP7 | 2 | 2.488 5E-1(9.05E-3) | 1.100 6E-1(1.37E-1) | 2.513 3E-1(1.39E-2) | 2.909 8E-1(1.11E-2) | 2.944 9E-1(1.38E-4) |
| LIRCMOP8 | 2 | 2.389 2E-1(1.27E-1) | 3.279 6E-2(8.59E-2) | 2.632 0E-1(2.25E-2) | 2.923 2E-1(9.70E-3) | 2.944 5E-1(3.81E-4) |
| LIRCMOP9 | 2 | 2.921 0E-1(6.78E-2) | 3.440 9E-1(8.21E-2) | 4.531 2E-1(2.61E-2) | 5.314 0E-1(3.74E-2) | 5.086 2E-1(7.17E-2) |
| LIRCMOP10 | 2 | 5.254 4E-1(6.97E-2) | 5.181 9E-1(5.00E-2) | 7.035 2E-1(1.76E-2) | 6.986 6E-1(3.93E-2) | 7.050 6E-1(5.95E-3) |
| LIRCMOP11 | 2 | 5.955 5E-1(5.80E-2) | 4.638 6E-1(6.66E-2) | 5.658 0E-1(7.58E-2) | 6.852 0E-1(2.03E-2) | 6.924 0E-1(5.70E-4) |
| LIRCMOP12 | 2 | 4.833 6E-1(5.88E-2) | 4.781 8E-1(5.00E-2) | 5.598 4E-1(2.02E-2) | 5.638 2E-1(3.98E-2) | 6.051 1E-1(3.02E-2) |
| LIRCMOP13 | 3 | 5.563 5E-1(1.45E-3)+ | 1.121 4E-2(2.69E-2) | 5.195 9E-1(4.07E-3)+ | 5.109 5E-1(2.73E-3) | 5.168 8E-1(6.91E-3) |
| LIRCMOP14 | 3 | 5.554 9E-1(9.80E-4)+ | 1.259 9E-2(4.02E-2) | 5.320 1E-1(4.06E-3) | 5.399 0E-1(2.46E-3) | 5.439 5E-1(2.35E-3) |
| +/方正汇总行 | 2/12/0 | 0/14/0 | 3/11/0 | 0/12/2 |
| 问题 | M | CMOEA-MS | ToP | PPS | MSCMO | TSDRA |
|---|---|---|---|---|---|---|
| MW1 | 2 | 3.416 1E-3(4.15E-3) | 1.062 5E-2(2.59E-2) | 5.741 0E-3(1.19E-2) | 3.575 8E-3(8.39E-3) | 1.620 1E-3(1.45E-5) |
| MW2 | 2 | 2.323 9E-2(1.02E-2) | 2.326 0E-2(1.58E-2) | 3.972 0E-2(2.54E-2) | 2.046 9E-2(7.36E-3) | 1.504 7E-2(7.72E-3) |
| MW3 | 2 | 5.394 1E-3(3.55E-4) | 6.060 2E-3(5.05E-4) | 6.696 1E-3(9.02E-4) | 4.887 8E-3(3.14E-4) | 4.753 4E-3(2.20E-4) |
| MW4 | 3 | 4.189 7E-2(4.39E-4) | 5.613 4E-2(2.94E-3) | 5.501 3E-2(1.83E-3) | 4.075 1E-2(3.57E-4) | 4.101 4E-2(4.85E-4) |
| MW5 | 2 | 2.890 5E-2(4.23E-2) | 3.109 4E-1(3.60E-1) | 1.794 2E-1(2.88E-1) | 1.231 7E-3(7.70E-4) | 1.590 4E-3(1.34E-3) |
| MW6 | 2 | 2.869 8E-2(2.40E-2) | 3.819 3E-2(7.73E-2) | 1.065 6E-1(1.71E-1) | 5.192 0E-2(1.20E-1) | 1.210 0E-2(7.11E-3) |
| MW7 | 2 | 1.731 7E-2(2.08E-2) | 6.637 4E-2(1.54E-1) | 2.627 9E-2(2.22E-2) | 4.451 3E-3(3.12E-4)+ | 5.093 3E-3(6.14E-4) |
| MW8 | 3 | 5.093 5E-2(8.45E-3) | 5.812 7E-2(5.33E-3) | 7.331 7E-2(2.70E-2) | 4.865 7E-2(1.42E-2) | 4.485 7E-2(3.00E-3) |
| MW9 | 2 | 2.275 6E-1(2.80E-1) | 3.642 9E-2(1.28E-1) | 1.319 0E-2(1.29E-2) | 2.572 2E-2(1.01E-1) | 4.392 8E-3(2.26E-4) |
| MW10 | 2 | 5.718 9E-2(3.54E-2) | 1.196 8E-1(1.38E-1) | 2.195 4E-1(2.33E-1) | 3.271 2E-2(2.09E-2) | 1.503 7E-2(1.08E-2) |
| MW11 | 2 | 6.260 0E-3(8.58E-4) | 3.755 2E-1(3.48E-1) | 8.891 5E-3(1.37E-2) | 6.116 1E-3(1.44E-4)+ | 7.367 1E-3(6.58E-3) |
| MW12 | 2 | 8.644 1E-3(1.39E-2) | 7.753 7E-3(9.91E-3) | 6.771 1E-3(2.56E-3) | 1.657 7E-2(6.50E-2) | 4.786 9E-3(2.17E-4) |
| MW13 | 2 | 9.898 2E-2(1.03E-1) | 2.270 6E-1(3.57E-1) | 1.218 4E-1(6.62E-2) | 7.053 4E-2(3.93E-2) | 3.744 1E-2(2.66E-2) |
| MW14 | 3 | 1.254 9E-1(4.34E-3) | 4.460 4E-1(2.89E-1) | 1.418 5E-1(3.71E-2) | 1.015 6E-1(2.21E-2)+ | 1.036 3E-1(2.17E-2) |
| +/方正汇总行 | 0/13/1 | 0/14/0 | 0/14/0 | 3/4/7 |
表3 五种算法在MW测试函数上IGD的平均值和标准差
Tab. 3 Average values and standard deviations of IGD on MW test functions of five algorithms
| 问题 | M | CMOEA-MS | ToP | PPS | MSCMO | TSDRA |
|---|---|---|---|---|---|---|
| MW1 | 2 | 3.416 1E-3(4.15E-3) | 1.062 5E-2(2.59E-2) | 5.741 0E-3(1.19E-2) | 3.575 8E-3(8.39E-3) | 1.620 1E-3(1.45E-5) |
| MW2 | 2 | 2.323 9E-2(1.02E-2) | 2.326 0E-2(1.58E-2) | 3.972 0E-2(2.54E-2) | 2.046 9E-2(7.36E-3) | 1.504 7E-2(7.72E-3) |
| MW3 | 2 | 5.394 1E-3(3.55E-4) | 6.060 2E-3(5.05E-4) | 6.696 1E-3(9.02E-4) | 4.887 8E-3(3.14E-4) | 4.753 4E-3(2.20E-4) |
| MW4 | 3 | 4.189 7E-2(4.39E-4) | 5.613 4E-2(2.94E-3) | 5.501 3E-2(1.83E-3) | 4.075 1E-2(3.57E-4) | 4.101 4E-2(4.85E-4) |
| MW5 | 2 | 2.890 5E-2(4.23E-2) | 3.109 4E-1(3.60E-1) | 1.794 2E-1(2.88E-1) | 1.231 7E-3(7.70E-4) | 1.590 4E-3(1.34E-3) |
| MW6 | 2 | 2.869 8E-2(2.40E-2) | 3.819 3E-2(7.73E-2) | 1.065 6E-1(1.71E-1) | 5.192 0E-2(1.20E-1) | 1.210 0E-2(7.11E-3) |
| MW7 | 2 | 1.731 7E-2(2.08E-2) | 6.637 4E-2(1.54E-1) | 2.627 9E-2(2.22E-2) | 4.451 3E-3(3.12E-4)+ | 5.093 3E-3(6.14E-4) |
| MW8 | 3 | 5.093 5E-2(8.45E-3) | 5.812 7E-2(5.33E-3) | 7.331 7E-2(2.70E-2) | 4.865 7E-2(1.42E-2) | 4.485 7E-2(3.00E-3) |
| MW9 | 2 | 2.275 6E-1(2.80E-1) | 3.642 9E-2(1.28E-1) | 1.319 0E-2(1.29E-2) | 2.572 2E-2(1.01E-1) | 4.392 8E-3(2.26E-4) |
| MW10 | 2 | 5.718 9E-2(3.54E-2) | 1.196 8E-1(1.38E-1) | 2.195 4E-1(2.33E-1) | 3.271 2E-2(2.09E-2) | 1.503 7E-2(1.08E-2) |
| MW11 | 2 | 6.260 0E-3(8.58E-4) | 3.755 2E-1(3.48E-1) | 8.891 5E-3(1.37E-2) | 6.116 1E-3(1.44E-4)+ | 7.367 1E-3(6.58E-3) |
| MW12 | 2 | 8.644 1E-3(1.39E-2) | 7.753 7E-3(9.91E-3) | 6.771 1E-3(2.56E-3) | 1.657 7E-2(6.50E-2) | 4.786 9E-3(2.17E-4) |
| MW13 | 2 | 9.898 2E-2(1.03E-1) | 2.270 6E-1(3.57E-1) | 1.218 4E-1(6.62E-2) | 7.053 4E-2(3.93E-2) | 3.744 1E-2(2.66E-2) |
| MW14 | 3 | 1.254 9E-1(4.34E-3) | 4.460 4E-1(2.89E-1) | 1.418 5E-1(3.71E-2) | 1.015 6E-1(2.21E-2)+ | 1.036 3E-1(2.17E-2) |
| +/方正汇总行 | 0/13/1 | 0/14/0 | 0/14/0 | 3/4/7 |
| 问题 | M | CMOEA-MS | ToP | PPS | MSCMO | TSDRA |
|---|---|---|---|---|---|---|
| MW1 | 2 | 4.867 1E-1(7.68E-3) | 4.799 7E-1(2.51E-2) | 4.849 8E-1(1.38E-2) | 4.874 9E-1(9.69E-3) | 4.900 5E-1(3.41E-5) |
| MW2 | 2 | 5.496 2E-1(1.56E-2) | 5.496 4E-1(2.28E-2) | 5.255 7E-1(3.50E-2) | 5.536 1E-1(1.17E-2) | 5.625 9E-1(1.29E-2) |
| MW3 | 2 | 5.440 4E-1(5.94E-4) | 5.428 6E-1(8.69E-4) | 5.442 1E-1(6.20E-4) | 5.442 8E-1(5.85E-4) | 5.445 0E-1(4.43E-4) |
| MW4 | 3 | 8.394 2E-1(7.16E-4) | 8.234 0E-1(3.37E-3) | 8.266 2E-1(2.09E-3) | 8.418 8E-1(3.63E-4)+ | 8.414 7E-1(7.55E-4) |
| MW5 | 2 | 3.094 1E-1(1.91E-2) | 2.228 5E-1(1.10E-1) | 2.610 5E-1(8.79E-2) | 3.240 1E-1(3.07E-4) | 3.236 5E-1(9.88E-4) |
| MW6 | 2 | 2.931 9E-1(2.19E-2) | 2.935 3E-1(2.57E-2) | 2.537 6E-1(6.79E-2) | 2.903 9E-1(4.78E-2) | 3.137 1E-1(1.01E-2) |
| MW7 | 2 | 4.100 4E-1(3.66E-3) | 3.888 2E-1(5.75E-2) | 4.052 8E-1(9.69E-2) | 4.120 6E-1(7.12E-4) | 4.123 8E-1(4.65E-4) |
| MW8 | 3 | 5.195 7E-1(2.06E-2) | 5.073 7E-1(1.79E-2) | 4.742 4E-1(5.56E-2) | 5.264 9E-1(3.19E-2) | 5.382 3E-1(1.31E-2) |
| MW9 | 2 | 2.384 7E-1(1.70E-1) | 3.713 9E-1(7.10E-2) | 3.822 9E-1(1.50E-2) | 3.834 5E-1(5.45E-2) | 3.987 8E-1(1.63E-3) |
| MW10 | 2 | 4.038 3E-1(2.49E-2) | 3.683 9E-1(6.93E-2) | 3.177 4E-1(1.13E-1) | 4.226 3E-1(1.85E-2) | 4.385 5E-1(1.21E-2) |
| MW11 | 2 | 4.469 0E-1(2.34E-3) | 3.536 8E-1(8.80E-2) | 4.450 1E-1(4.51E-3) | 4.475 3E-1(2.21E-4) | 4.468 7E-1(2.89E-3) |
| MW12 | 2 | 6.014 5E-1(9.98E-3) | 6.024 6E-1(7.04E-3) | 6.020 7E-1(4.43E-3) | 5.937 9E-1(6.18E-2) | 6.407 9E-1(4.86E-4) |
| MW13 | 2 | 4.358 8E-1(3.70E-2) | 4.053 4E-1(6.59E-2) | 4.154 3E-1(4.32E-2) | 4.442 6E-1(2.05E-2) | 4.614 2E-1(1.22E-2) |
| MW14 | 3 | 4.653 8E-1(2.92E-3) | 2.951 5E-1(1.39E-1) | 4.540 0E-1(7.05E-3) | 4.720 0E-1(4.55E-3) | 4.664 2E-1(4.64E-3) |
| +/方正汇总行 | 0/11/3 | 0/14/0 | 0/13/1 | 1/3/10 |
表4 五种算法在MW测试函数上HV的平均值和标准差
Tab. 4 Average values and standard deviations of HV on MW test functions of five algorithms
| 问题 | M | CMOEA-MS | ToP | PPS | MSCMO | TSDRA |
|---|---|---|---|---|---|---|
| MW1 | 2 | 4.867 1E-1(7.68E-3) | 4.799 7E-1(2.51E-2) | 4.849 8E-1(1.38E-2) | 4.874 9E-1(9.69E-3) | 4.900 5E-1(3.41E-5) |
| MW2 | 2 | 5.496 2E-1(1.56E-2) | 5.496 4E-1(2.28E-2) | 5.255 7E-1(3.50E-2) | 5.536 1E-1(1.17E-2) | 5.625 9E-1(1.29E-2) |
| MW3 | 2 | 5.440 4E-1(5.94E-4) | 5.428 6E-1(8.69E-4) | 5.442 1E-1(6.20E-4) | 5.442 8E-1(5.85E-4) | 5.445 0E-1(4.43E-4) |
| MW4 | 3 | 8.394 2E-1(7.16E-4) | 8.234 0E-1(3.37E-3) | 8.266 2E-1(2.09E-3) | 8.418 8E-1(3.63E-4)+ | 8.414 7E-1(7.55E-4) |
| MW5 | 2 | 3.094 1E-1(1.91E-2) | 2.228 5E-1(1.10E-1) | 2.610 5E-1(8.79E-2) | 3.240 1E-1(3.07E-4) | 3.236 5E-1(9.88E-4) |
| MW6 | 2 | 2.931 9E-1(2.19E-2) | 2.935 3E-1(2.57E-2) | 2.537 6E-1(6.79E-2) | 2.903 9E-1(4.78E-2) | 3.137 1E-1(1.01E-2) |
| MW7 | 2 | 4.100 4E-1(3.66E-3) | 3.888 2E-1(5.75E-2) | 4.052 8E-1(9.69E-2) | 4.120 6E-1(7.12E-4) | 4.123 8E-1(4.65E-4) |
| MW8 | 3 | 5.195 7E-1(2.06E-2) | 5.073 7E-1(1.79E-2) | 4.742 4E-1(5.56E-2) | 5.264 9E-1(3.19E-2) | 5.382 3E-1(1.31E-2) |
| MW9 | 2 | 2.384 7E-1(1.70E-1) | 3.713 9E-1(7.10E-2) | 3.822 9E-1(1.50E-2) | 3.834 5E-1(5.45E-2) | 3.987 8E-1(1.63E-3) |
| MW10 | 2 | 4.038 3E-1(2.49E-2) | 3.683 9E-1(6.93E-2) | 3.177 4E-1(1.13E-1) | 4.226 3E-1(1.85E-2) | 4.385 5E-1(1.21E-2) |
| MW11 | 2 | 4.469 0E-1(2.34E-3) | 3.536 8E-1(8.80E-2) | 4.450 1E-1(4.51E-3) | 4.475 3E-1(2.21E-4) | 4.468 7E-1(2.89E-3) |
| MW12 | 2 | 6.014 5E-1(9.98E-3) | 6.024 6E-1(7.04E-3) | 6.020 7E-1(4.43E-3) | 5.937 9E-1(6.18E-2) | 6.407 9E-1(4.86E-4) |
| MW13 | 2 | 4.358 8E-1(3.70E-2) | 4.053 4E-1(6.59E-2) | 4.154 3E-1(4.32E-2) | 4.442 6E-1(2.05E-2) | 4.614 2E-1(1.22E-2) |
| MW14 | 3 | 4.653 8E-1(2.92E-3) | 2.951 5E-1(1.39E-1) | 4.540 0E-1(7.05E-3) | 4.720 0E-1(4.55E-3) | 4.664 2E-1(4.64E-3) |
| +/方正汇总行 | 0/11/3 | 0/14/0 | 0/13/1 | 1/3/10 |
| 问题 | M | TSDRAv1 | TSDRAv2 | TSDRA |
|---|---|---|---|---|
| LIRCMOP1 | 2 | 1.234 4E-2(2.28E-3) | 1.131 4E-1(4.59E-2) | 7.9746E-3(1.38E-3) |
| LIRCMOP2 | 2 | 8.783 1E-3(7.38E-4) | 5.820 7E-2(5.98E-2) | 5.0709E-3(2.25E-4) |
| LIRCMOP3 | 2 | 8.495 6E-3(2.68E-3) | 1.512 6E-1(9.11E-2) | 3.2908E-3(5.32E-4) |
| LIRCMOP4 | 2 | 7.162 0E-3(6.46E-4) | 1.250 3E-1(1.11E-1) | 2.9301E-3(2.44E-4) |
| LIRCMOP5 | 2 | 9.347 4E-3(1.61E-3) | 8.048 0E-3(2.19E-3) | 7.7091E-3(4.11E-3) |
| LIRCMOP6 | 2 | 2.012 6E-2(6.63E-2) | 5.161 7E-2(1.19E-1) | 5.6583E-3(2.39E-4) |
| LIRCMOP7 | 2 | 7.953 5E-3(5.29E-4) | 1.268 9E-2(2.42E-2) | 7.2306E-3(3.16E-4) |
| LIRCMOP8 | 2 | 2.236 3E-2(8.04E-2) | 7.389 5E-3(3.99E-4) | 7.2472E-3(4.14E-4) |
| LIRCMOP9 | 2 | 1.0524E-1(1.23E-1) | 4.811 5E-1(7.11E-2) | 1.335 3E-1(1.70E-1) |
| LIRCMOP10 | 2 | 1.403 6E-2(2.60E-3)- | 6.444 1E-2(8.34E-2) | 9.3422E-3(2.02E-3) |
| LIRCMOP11 | 2 | 9.461 5E-3(1.39E-2)- | 9.925 6E-2(7.37E-2) | 5.1255E-3(8.51E-4) |
| LIRCMOP12 | 2 | 4.449 2E-2(5.40E-2)- | 2.961 7E-1(9.96E-2) | 3.2965E-2(5.61E-2) |
| LIRCMOP13 | 3 | 1.180 5E-1(1.43E-3)- | 1.0800E-1(3.35E-3) | 1.085 3E-1(1.93E-3) |
| LIRCMOP14 | 3 | 1.018 8E-1(1.50E-3) | 9.897 6E-2(2.18E-3) | 9.8775E-2(1.40E-3) |
| +/方正汇总行 | 0/12/2 | 0/9/5 |
表5 TSDRA和它的变体在LIRCMOP测试函数上IGD的平均值和标准差
Tab. 5 Average value and standard deviation of IGD on LIRCMOP test function of TSDRA and its variants
| 问题 | M | TSDRAv1 | TSDRAv2 | TSDRA |
|---|---|---|---|---|
| LIRCMOP1 | 2 | 1.234 4E-2(2.28E-3) | 1.131 4E-1(4.59E-2) | 7.9746E-3(1.38E-3) |
| LIRCMOP2 | 2 | 8.783 1E-3(7.38E-4) | 5.820 7E-2(5.98E-2) | 5.0709E-3(2.25E-4) |
| LIRCMOP3 | 2 | 8.495 6E-3(2.68E-3) | 1.512 6E-1(9.11E-2) | 3.2908E-3(5.32E-4) |
| LIRCMOP4 | 2 | 7.162 0E-3(6.46E-4) | 1.250 3E-1(1.11E-1) | 2.9301E-3(2.44E-4) |
| LIRCMOP5 | 2 | 9.347 4E-3(1.61E-3) | 8.048 0E-3(2.19E-3) | 7.7091E-3(4.11E-3) |
| LIRCMOP6 | 2 | 2.012 6E-2(6.63E-2) | 5.161 7E-2(1.19E-1) | 5.6583E-3(2.39E-4) |
| LIRCMOP7 | 2 | 7.953 5E-3(5.29E-4) | 1.268 9E-2(2.42E-2) | 7.2306E-3(3.16E-4) |
| LIRCMOP8 | 2 | 2.236 3E-2(8.04E-2) | 7.389 5E-3(3.99E-4) | 7.2472E-3(4.14E-4) |
| LIRCMOP9 | 2 | 1.0524E-1(1.23E-1) | 4.811 5E-1(7.11E-2) | 1.335 3E-1(1.70E-1) |
| LIRCMOP10 | 2 | 1.403 6E-2(2.60E-3)- | 6.444 1E-2(8.34E-2) | 9.3422E-3(2.02E-3) |
| LIRCMOP11 | 2 | 9.461 5E-3(1.39E-2)- | 9.925 6E-2(7.37E-2) | 5.1255E-3(8.51E-4) |
| LIRCMOP12 | 2 | 4.449 2E-2(5.40E-2)- | 2.961 7E-1(9.96E-2) | 3.2965E-2(5.61E-2) |
| LIRCMOP13 | 3 | 1.180 5E-1(1.43E-3)- | 1.0800E-1(3.35E-3) | 1.085 3E-1(1.93E-3) |
| LIRCMOP14 | 3 | 1.018 8E-1(1.50E-3) | 9.897 6E-2(2.18E-3) | 9.8775E-2(1.40E-3) |
| +/方正汇总行 | 0/12/2 | 0/9/5 |
| 问题 | M | TSDRAv1 | TSDRAv2 | TSDRA |
|---|---|---|---|---|
| LIRCMOP1 | 2 | 2.347 1E-1(8.72E-4) | 1.784 9E-1(2.16E-2) | 2.3717E-1(2.46E-4) |
| LIRCMOP2 | 2 | 3.577 6E-1(4.42E-4) | 3.334 5E-1(2.54E-2) | 3.5993E-1(1.87E-4) |
| LIRCMOP3 | 2 | 2.044 0E-1(1.87E-3) | 1.529 5E-1(2.70E-2) | 2.0746E-1(4.77E-4) |
| LIRCMOP4 | 2 | 3.139 6E-1(6.42E-4) | 2.703 1E-1(3.95E-2) | 3.1653E-1(3.57E-4) |
| LIRCMOP5 | 2 | 2.896 0E-1(1.09E-3) | 2.9004 E-1(1.54E-3) | 2.9054E-1(5.66E-4) |
| LIRCMOP6 | 2 | 1.914 4E-1(2.31E-2) | 1.805 2E-1(4.05E-2) | 1.9637E-1(2.02E-4) |
| LIRCMOP7 | 2 | 2.940 2E-1(3.76E-4) | 2.923 1E-1(8.96E-3) | 2.9449E-1(1.38E-4) |
| LIRCMOP8 | 2 | 2.915 4E-1(1.41E-2) | 2.9438 E-1(2.86E-4) | 2.9441E-1(2.32E-4) |
| LIRCMOP9 | 2 | 5.2473E-1(5.26E-2) | 3.621 9E-1(2.12E-2) | 5.086 2E-1(7.17E-2) |
| LIRCMOP10 | 2 | 7.003 7E-1(1.50E-3)- | 6.789 6E-1(3.88E-2) | 7.0411E-1(1.22E-3) |
| LIRCMOP11 | 2 | 6.893 9E-1(7.91E-3)- | 6.391 1E-1(4.09E-2) | 6.9240E-1(5.70E-4) |
| LIRCMOP12 | 2 | 5.996 2E-1(2.89E-2)- | 4.598 5E-1(6.31E-2) | 6.0511E-1(3.02E-2) |
| LIRCMOP13 | 3 | 5.141 4E-1(3.41E-3)- | 5.2723E-1(3.22E-3)+ | 5.256 3E-1(3.00E-3) |
| LIRCMOP14 | 3 | 5.434 2E-1(1.47E-3)- | 5.4784E-2(3.34E-3) | 5.474 4E-1(1.88E-3) |
| +/方正汇总行 | 0/13/1 | 1/10/3 |
表6 TSDRA和它的变体在LIRCMOP测试函数上HV的平均值和标准差
Tab. 6 Average value and standard deviation of HV on LIRCMOP test function of TSDRA and its variants
| 问题 | M | TSDRAv1 | TSDRAv2 | TSDRA |
|---|---|---|---|---|
| LIRCMOP1 | 2 | 2.347 1E-1(8.72E-4) | 1.784 9E-1(2.16E-2) | 2.3717E-1(2.46E-4) |
| LIRCMOP2 | 2 | 3.577 6E-1(4.42E-4) | 3.334 5E-1(2.54E-2) | 3.5993E-1(1.87E-4) |
| LIRCMOP3 | 2 | 2.044 0E-1(1.87E-3) | 1.529 5E-1(2.70E-2) | 2.0746E-1(4.77E-4) |
| LIRCMOP4 | 2 | 3.139 6E-1(6.42E-4) | 2.703 1E-1(3.95E-2) | 3.1653E-1(3.57E-4) |
| LIRCMOP5 | 2 | 2.896 0E-1(1.09E-3) | 2.9004 E-1(1.54E-3) | 2.9054E-1(5.66E-4) |
| LIRCMOP6 | 2 | 1.914 4E-1(2.31E-2) | 1.805 2E-1(4.05E-2) | 1.9637E-1(2.02E-4) |
| LIRCMOP7 | 2 | 2.940 2E-1(3.76E-4) | 2.923 1E-1(8.96E-3) | 2.9449E-1(1.38E-4) |
| LIRCMOP8 | 2 | 2.915 4E-1(1.41E-2) | 2.9438 E-1(2.86E-4) | 2.9441E-1(2.32E-4) |
| LIRCMOP9 | 2 | 5.2473E-1(5.26E-2) | 3.621 9E-1(2.12E-2) | 5.086 2E-1(7.17E-2) |
| LIRCMOP10 | 2 | 7.003 7E-1(1.50E-3)- | 6.789 6E-1(3.88E-2) | 7.0411E-1(1.22E-3) |
| LIRCMOP11 | 2 | 6.893 9E-1(7.91E-3)- | 6.391 1E-1(4.09E-2) | 6.9240E-1(5.70E-4) |
| LIRCMOP12 | 2 | 5.996 2E-1(2.89E-2)- | 4.598 5E-1(6.31E-2) | 6.0511E-1(3.02E-2) |
| LIRCMOP13 | 3 | 5.141 4E-1(3.41E-3)- | 5.2723E-1(3.22E-3)+ | 5.256 3E-1(3.00E-3) |
| LIRCMOP14 | 3 | 5.434 2E-1(1.47E-3)- | 5.4784E-2(3.34E-3) | 5.474 4E-1(1.88E-3) |
| +/方正汇总行 | 0/13/1 | 1/10/3 |
| 1 | ZHOU H, QIAO J. Multi-objective optimal control for wastewater treatment process using adaptive MOEA/D [J]. Applied Intelligence, 2019, 49: 1098-1126. 10.1007/s10489-018-1319-7 |
| 2 | 鲁宇明,张祥飞,黎明,等.基于约束多目标优化算法的夹具定位方案稳健性优化设计[J].兵工学报, 2022, 43(3): 686-693. |
| LU Y M, ZHANG X F, LI M, et al. Robust optimization design of fixture locating scheme based on constrained multi-objective optimization algorithm [J]. Acta Armamentarii, 2022, 43(3): 686-693. | |
| 3 | SORKHABI S Y D, ROMERO D A, BECK J C, et al. Constrained multi-objective wind farm layout optimization: novel constraint handling approach based on constraint programming [J]. Renewable Energy, 2018, 126: 341-353. 10.1016/j.renene.2018.03.053 |
| 4 | TESSEMA B, YEN G G. An adaptive penalty formulation for constrained evolutionary optimization [J]. IEEE Transactions on Systems, Man, and Cybernetics — Part A: Systems and Humans, 2009, 39(3): 565-578. 10.1109/tsmca.2009.2013333 |
| 5 | DEB K, PRATAP A, AGARWAL S, et al. A fast and elitist multiobjective genetic algorithm: NSGA-II [J]. IEEE Transactions on Evolutionary Computation, 2002, 6(2): 182-197. 10.1109/4235.996017 |
| 6 | ABRAHAM A, DOTE Y, FURUHASHI T, et al. Soft Computing as Transdisciplinary Science and Technology [M]. Berlin: Springer, 2005: 1019-1029. 10.1007/3-540-32391-0 |
| 7 | RUNARSSON T P, YAO X. Stochastic ranking for constrained evolutionary optimization [J]. IEEE Transactions on Evolutionary Computation, 2000, 4(3): 284-294. 10.1109/4235.873238 |
| 8 | FAN Z, LI W, CAI X, et al. Push and pull search for solving constrained multi-objective optimization problems [J]. Swarm and Evolutionary Computation, 2019, 44: 665-679. 10.1016/j.swevo.2018.08.017 |
| 9 | LIU Z-Z, WANG Y. Handling constrained multiobjective optimization problems with constraints in both the decision and objective spaces [J]. IEEE Transactions on Evolutionary Computation, 2019, 23(5): 870-884. 10.1109/tevc.2019.2894743 |
| 10 | TIAN Y, ZHANG Y, SU Y, et al. Balancing objective optimization and constraint satisfaction in constrained evolutionary multi-objective optimization [J]. IEEE Transactions on Cybernetics, 2022, 52(9): 9559-9572. 10.1109/tcyb.2020.3021138 |
| 11 | MA H, WEI H, TIAN Y, et al. A multi-stage evolutionary algorithm for multi-objective optimization with complex constraints [J]. Information Sciences, 2021, 560: 68-91. 10.1016/j.ins.2021.01.029 |
| 12 | LI K, CHEN R, FU G, et al. Two-archive evolutionary algorithm for constrained multi-objective optimization [J]. IEEE Transactions on Evolutionary Computation, 2019, 23(2): 303-315. 10.1109/tevc.2018.2855411 |
| 13 | TIAN Y, ZHANG T, XIAO J, et al. A coevolutionary framework for constrained multi-objective optimization problems [J]. IEEE Transactions on Evolutionary Computation, 2021, 25(1): 102-116. 10.1109/tevc.2020.3004012 |
| 14 | ZOU J, SUN R, YANG S, et al. A dual-population algorithm based on alternative evolution and degeneration for solving constrained multi-objective optimization problems [J]. Information Sciences, 2021, 579:89-102. 10.1016/j.ins.2021.07.078 |
| 15 | LIU Z-Z, WANG B-C, TANG K. Handling constrained multiobjective optimization problems via bidirectional coevolution [J]. IEEE Transactions on Cybernetics, 2022, 52(10): 10163-10176. 10.1109/tcyb.2021.3056176 |
| 16 | MING F, GONG W, ZHEN H, et al. A simple two-stage evolutionary algorithm for constrained multi-objective optimization [J]. Knowledge-Based Systems, 2021, 228: 107263. 10.1016/j.knosys.2021.107263 |
| 17 | FAN C, WANG J, XIAO L, et al. A coevolution algorithm based on two-staged strategy for constrained multi-objective problems [J]. Applied Intelligence, 2022, 52: 17954-17973. 10.1007/s10489-022-03421-7 |
| 18 | WANG Y, LIU Y, ZOU J, et al. A novel two-phase evolutionary algorithm for solving constrained multi-objective optimization problems [J]. Swarm and Evolutionary Computation, 2022, 75: 101166. 10.1016/j.swevo.2022.101166 |
| 19 | MA Z, WANG Y. Evolutionary constrained multiobjective optimization: test suite construction and performance comparisons [J]. IEEE Transactions on Evolutionary Computation, 2019, 23(6): 972-986. 10.1109/tevc.2019.2896967 |
| 20 | ZITZLER E, LAUMANNS M, THIELE L. SPEA2: Improving the strength Pareto evolutionary algorithm [J/OL]. TIK Report, 2001, 103: 1-21[2023-01-05]. . |
| 21 | TIAN Y, CHENG R, ZHANG X, et al. PlatEMO: A Matlab platform for evolutionary multi-objective optimization [educational forum] [J]. IEEE Computational Intelligence Magazine, 2017, 12(4): 73-87. 10.1109/mci.2017.2742868 |
| 22 | FAN Z, LI W, CAI X, et al. An improved epsilon constraint-handling method in MOEA/D for CMOPs with large infeasible regions [J]. Soft Computing, 2019, 23: 12491-12510. 10.1007/s00500-019-03794-x |
| 23 | BOSMAN P A N, THIERENS D. The balance between proximity and diversity in multiobjective evolutionary algorithms [J]. IEEE Transactions on Evolutionary Computation, 2003, 7(2): 174-188. 10.1109/tevc.2003.810761 |
| 24 | ZITZLER E, THIELE L. Multiobjective evolutionary algorithms: a comparative case study and the strength Pareto approach [J]. IEEE Transactions on Evolutionary Computation, 1999, 3(4): 257-271. 10.1109/4235.797969 |
| [1] | 姚光磊, 熊菊霞, 杨国武. 基于神经网络优化的花朵授粉算法[J]. 《计算机应用》唯一官方网站, 2024, 44(9): 2829-2837. |
| [2] | 赵楷文, 王鹏, 童向荣. 基于双阶段搜索的约束进化多任务优化算法[J]. 《计算机应用》唯一官方网站, 2024, 44(5): 1415-1422. |
| [3] | 张俊娜, 王欣新, 李天泽, 赵晓焱, 袁培燕. 基于动态服务缓存辅助的任务卸载方法[J]. 《计算机应用》唯一官方网站, 2024, 44(5): 1493-1500. |
| [4] | 唐睿, 庞川林, 张睿智, 刘川, 岳士博. D2D通信增强的蜂窝网络中基于DDPG的资源分配[J]. 《计算机应用》唯一官方网站, 2024, 44(5): 1562-1569. |
| [5] | 罗华亮, 李全忠, 张旗. 融合信息通信和空中计算的认知无线网络鲁棒资源分配优化[J]. 《计算机应用》唯一官方网站, 2024, 44(4): 1195-1202. |
| [6] | 陈发堂, 黄淼, 金宇峰. 面向用户需求的低轨卫星资源分配算法[J]. 《计算机应用》唯一官方网站, 2024, 44(4): 1242-1247. |
| [7] | 唐睿, 岳士博, 张睿智, 刘川, 庞川林. UAV协助下非正交多址接入使能的数据采集系统中能效优化机制[J]. 《计算机应用》唯一官方网站, 2024, 44(4): 1209-1218. |
| [8] | 秦鑫彤, 宋政育, 侯天为, 王飞越, 孙昕, 黎伟. 基于自适应p持续的移动自组网信道接入和资源分配算法[J]. 《计算机应用》唯一官方网站, 2024, 44(3): 863-868. |
| [9] | 张卓, 陈花竹. 基于一致性和多样性的多尺度自表示学习的深度子空间聚类[J]. 《计算机应用》唯一官方网站, 2024, 44(2): 353-359. |
| [10] | 黄亚伟, 钱雪忠, 宋威. 基于双档案种群大小自适应方法的改进差分进化算法[J]. 《计算机应用》唯一官方网站, 2024, 44(12): 3844-3853. |
| [11] | 徐赛娟, 裴镇宇, 林佳炜, 刘耿耿. 基于多阶段搜索的约束多目标进化算法[J]. 《计算机应用》唯一官方网站, 2023, 43(8): 2345-2351. |
| [12] | 杜明, 顾万里, 周军锋, 王志军. 基于motif连通性的社区搜索方法[J]. 《计算机应用》唯一官方网站, 2023, 43(7): 2190-2199. |
| [13] | 李磊, 张国富, 苏兆品, 岳峰. 体系结构动态变化的软件测试资源分配算法[J]. 《计算机应用》唯一官方网站, 2023, 43(7): 2261-2270. |
| [14] | 王彬, 向甜, 吕艺东, 王晓帆. 基于NSGA‑Ⅱ的自适应多尺度特征通道分组优化算法[J]. 《计算机应用》唯一官方网站, 2023, 43(5): 1401-1408. |
| [15] | 张敏, 韩晓龙. 多目标模糊机会约束规划的低碳多式联运路径优化[J]. 《计算机应用》唯一官方网站, 2023, 43(2): 636-644. |
| 阅读次数 | ||||||
|
全文 |
|
|||||
|
摘要 |
|
|||||