《计算机应用》唯一官方网站 ›› 2025, Vol. 45 ›› Issue (11): 3682-3691.DOI: 10.11772/j.issn.1001-9081.2024111643

• 网络与通信 • 上一篇    

面向多IRS辅助的NOMA-SWIPT协作传输模型的联合波束成形与功率分配

葛孟佳1, 戴景2, 李昱辰1, 潘莉丽1, 景小荣2   

  1. 1.航空工业成都飞机工业(集团)有限责任公司,成都 610092
    2.重庆邮电大学 通信与信息工程学院,重庆 400065
  • 收稿日期:2024-11-20 修回日期:2025-01-06 接受日期:2025-01-08 发布日期:2025-01-15 出版日期:2025-11-10
  • 作者简介:戴景(1998—),男,江西丰城人,硕士研究生,主要研究方向:IRS辅助通信
    景小荣(1974—),男,甘肃平凉人,教授,博士,主要研究方向:无线通信信号处理。
  • 基金资助:
    国家自然科学基金资助项目(U23A20279)

Joint beamforming and power allocation for multi-IRS- assisted NOMA-SWIPT cooperative transmission model

Mengjia GE1, Jing DAI2, Yuchen LI1, Lili PAN1, Xiaorong JING2   

  1. 1.AVIC Chengdu Aircraft Industrial (Group) Corporation Limited,Chengdu Sichuan 610092,China
    2.School of Communications and Information Engineering,Chongqing University of Posts and Telecommunications,Chongqing 400065,China
  • Received:2024-11-20 Revised:2025-01-06 Accepted:2025-01-08 Online:2025-01-15 Published:2025-11-10
  • About author:DAI Jing, born in 1998, M. S. candidate. His research interests include IRS-assisted communication.
    JING Xiaorong, born in 1974, Ph. D., professor. His research interests include wireless communication signal processing.
  • Supported by:
    National Natural Science Foundation of China(U23A20279)

摘要:

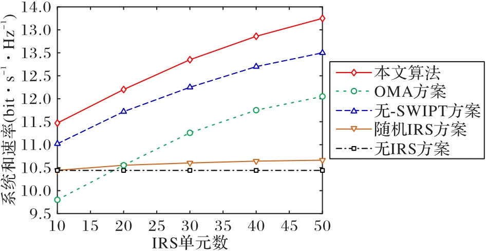
面对第五代(5G)移动物联网(IoT)快速发展所引起的频谱资源短缺、盲区覆盖及供能不足等挑战,融合智能反射表面(IRS)、无线携能通信(SWIPT)及非正交多址接入(NOMA)技术,提出一种多IRS辅助NOMA-SWIPT协作传输模型;并以此模型为基础,以最大化系统和速率为目标,构建一非凸优化问题,进而提出一种基于两阶段的联合波束成形(包括基站主动波束成形和IRS被动波束成形)和功率分配优化算法对此问题进行求解。在求解过程中,为了对待优化变量进行解耦,首先利用流行的优化方法对协作传输阶段的被动波束成形进行求解,其次利用块坐标下降(BCD)算法通过交替迭代将非凸问题拆解为4个子问题,进而利用二次变化、连续凸逼近(SCA)等方法求解这些子问题。仿真结果表明,与无SWIPT的方案和正交频分复用(OMA)等方案相比,所提协作传输模型及其优化算法的系统和速率分别提升约0.5 bit·s-1·Hz-1和1.5 bit·s-1·Hz-1,而且具有更稳健的收敛特性。

关键词: 智能反射表面, 非正交多址, 无线携能通信, 块坐标下降, 连续凸逼近

Abstract:

To address the challenges caused by the rapid development of the Fifth-Generation (5G) mobile Internet of Things (IoT), including spectrum shortages, coverage blind zones, and power supply deficiencies, by integrating Intelligent Reflecting Surfaces (IRS), Simultaneous Wireless Information and Power Transfer (SWIPT), and Non-Orthogonal Multiple Access (NOMA) technologies, a multi-IRS-assisted NOMA-SWIPT cooperative transmission model was proposed. Based on this model, a non-convex optimization problem was formulated with the goal of maximizing system sum rate, and a two-stage joint beamforming (including active beamforming of base stations and passive beamforming of IRS) and power allocation optimization algorithm was then proposed to solve this problem. During the solution process, to decouple the variables to be optimized, a popular optimization method was first used to solve for the passive beamforming in the cooperative transmission phase. Then, the Block Coordinate Descent (BCD) algorithm was applied to decompose the non-convex problem into four sub-problems through alternating iteration, which were later solved using methods such as quadratic transformation and Successive Convex Approximation (SCA). Simulation results show that compared with schemes of no SWIPT and Orthogonal Multiple Access (OMA), the proposed cooperative transmission model and its corresponding optimization algorithm improves the system sum rate by approximately 0.5 bit·s-1·Hz-1 and 1.5 bit·s-1·Hz-1, respectively, and has more robust convergence characteristics.

Key words: Intelligent Reflecting Surfaces (IRS), Non-Orthogonal Multiple Access (NOMA), Simultaneous Wireless Information and Power Transfer (SWIPT), Block Coordinate Descent (BCD), Successive Convex Approximation (SCA)

中图分类号: