《计算机应用》唯一官方网站 ›› 2025, Vol. 45 ›› Issue (10): 3328-3335.DOI: 10.11772/j.issn.1001-9081.2024091324
• 多媒体计算与计算机仿真 • 上一篇
李钟华1,2, 钟庚辛1,2, 范萍1,2, 朱恒亮1,2(
)
收稿日期:2024-09-20
修回日期:2024-11-18
接受日期:2024-11-22
发布日期:2025-01-13
出版日期:2025-10-10
通讯作者:
朱恒亮
作者简介:李钟华(1976—),男,福建南平人,副教授,博士,CCF会员,主要研究方向:图像处理、人工智能基金资助:
Zhonghua LI1,2, Gengxin ZHONG1,2, Ping FAN1,2, Hengliang ZHU1,2(
)
Received:2024-09-20
Revised:2024-11-18
Accepted:2024-11-22
Online:2025-01-13
Published:2025-10-10
Contact:
Hengliang ZHU
About author:LI Zhonghua, born in 1976, Ph. D., associate professor. His research interests include image processing, artificial intelligence.Supported by:摘要:
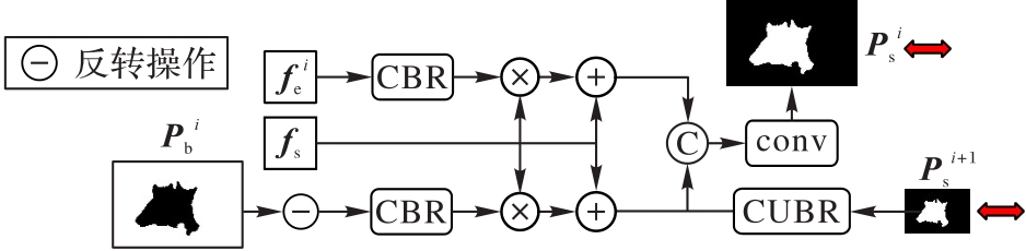
伪装目标与背景具有高度的相似性,极易受背景特征混淆,导致边界信息难以分辨且提取目标特征困难。目前主流的伪装目标检测(COD)算法主要针对性研究伪装目标本身及其边界行,忽略了图像背景与目标的相互关系,在复杂场景下的检测结果不理想。为了探索背景和目标的潜在联系,提出一种通过挖掘边界和背景检测伪装目标的算法——I2DNet(Indirect to Direct Network)。该算法由5个部分组成:编码器,处理初始原始数据;边界指导的特征提取和挖掘框架,通过特征处理和特征挖掘提取更多精细的边界特征;背景引导的潜在特征学习框架,通过多尺度卷积探索更多的显著特征,同时基于注意力设计混合注意力模块(HAM),增强对背景特征的强化选择;信息补偿模块(ISM),弥补在特征处理过程中损失的细节信息;多任务协同分割解码器(MCD)则高效融合不同任务和模块提取的特征,并输出最终的预测结果。在广泛使用的3个数据集上的实验结果表明,所提算法优于其他15个先进模型,尤其在CAMO数据集上的平均绝对误差指标下降至0.042。
中图分类号:
李钟华, 钟庚辛, 范萍, 朱恒亮. 边界挖掘和背景引导的伪装目标检测[J]. 计算机应用, 2025, 45(10): 3328-3335.
Zhonghua LI, Gengxin ZHONG, Ping FAN, Hengliang ZHU. Camouflaged object detection by boundary mining and background guidance[J]. Journal of Computer Applications, 2025, 45(10): 3328-3335.
| 算法 | CAMO | COD10K | NC4K | |||||||||
|---|---|---|---|---|---|---|---|---|---|---|---|---|
| SINet | 0.745 | 0.644 | 0.092 | 0.804 | 0.776 | 0.631 | 0.043 | 0.864 | 0.808 | 0.723 | 0.058 | 0.871 |
| MGL | 0.775 | 0.673 | 0.088 | 0.812 | 0.814 | 0.666 | 0.035 | 0.852 | 0.833 | 0.740 | 0.052 | 0.867 |
| PFNet | 0.782 | 0.695 | 0.085 | 0.842 | 0.800 | 0.660 | 0.040 | 0.877 | 0.829 | 0.745 | 0.053 | 0.888 |
| C2F-Net | 0.796 | 0.719 | 0.080 | 0.854 | 0.813 | 0.686 | 0.036 | 0.890 | 0.838 | 0.762 | 0.049 | 0.897 |
| SegMaR | 0.815 | 0.753 | 0.071 | 0.874 | 0.833 | 0.724 | 0.034 | 0.899 | 0.841 | 0.781 | 0.046 | 0.896 |
| BSA-Net | 0.794 | 0.717 | 0.079 | 0.851 | 0.818 | 0.699 | 0.034 | 0.891 | 0.841 | 0.771 | 0.048 | 0.897 |
| SINet v2 | 0.820 | 0.743 | 0.070 | 0.882 | 0.815 | 0.680 | 0.037 | 0.887 | 0.847 | 0.770 | 0.048 | 0.903 |
| FAP-Net | 0.815 | 0.734 | 0.076 | 0.865 | 0.822 | 0.694 | 0.036 | 0.888 | 0.851 | 0.775 | 0.047 | 0.899 |
| BGNet | 0.812 | 0.749 | 0.073 | 0.870 | 0.831 | 0.722 | 0.033 | 0.901 | 0.851 | 0.788 | 0.044 | 0.907 |
| ZoomNet | 0.820 | 0.752 | 0.066 | 0.878 | 0.838 | 0.729 | 0.029 | 0.888 | 0.853 | 0.784 | 0.043 | 0.896 |
| FEDER | 0.802 | 0.738 | 0.071 | 0.867 | 0.822 | 0.716 | 0.032 | 0.901 | 0.847 | 0.789 | 0.044 | 0.907 |
| BFFFG | 0.835 | 0.775 | 0.065 | 0.886 | 0.842 | 0.739 | 0.029 | 0.905 | 0.862 | 0.801 | 0.041 | 0.911 |
| FSPNet | 0.856 | 0.799 | 0.050 | 0.899 | 0.851 | 0.735 | 0.026 | 0.924 | 0.879 | 0.816 | 0.035 | 0.915 |
| UEDG | 0.863 | 0.817 | 0.048 | 0.922 | 0.858 | 0.766 | 0.025 | 0.932 | 0.879 | 0.830 | 0.035 | 0.929 |
| MSCAF-Net | 0.873 | 0.828 | 0.046 | 0.929 | 0.865 | 0.775 | 0.024 | 0.927 | 0.887 | 0.838 | 0.032 | 0.934 |
| I2DNet | 0.884 | 0.840 | 0.042 | 0.936 | 0.867 | 0.774 | 0.023 | 0.929 | 0.889 | 0.840 | 0.032 | 0.936 |
表1 不同算法在3个数据集上的性能对比
Tab. 1 Performance comparison of different algorithms on three datasets
| 算法 | CAMO | COD10K | NC4K | |||||||||
|---|---|---|---|---|---|---|---|---|---|---|---|---|
| SINet | 0.745 | 0.644 | 0.092 | 0.804 | 0.776 | 0.631 | 0.043 | 0.864 | 0.808 | 0.723 | 0.058 | 0.871 |
| MGL | 0.775 | 0.673 | 0.088 | 0.812 | 0.814 | 0.666 | 0.035 | 0.852 | 0.833 | 0.740 | 0.052 | 0.867 |
| PFNet | 0.782 | 0.695 | 0.085 | 0.842 | 0.800 | 0.660 | 0.040 | 0.877 | 0.829 | 0.745 | 0.053 | 0.888 |
| C2F-Net | 0.796 | 0.719 | 0.080 | 0.854 | 0.813 | 0.686 | 0.036 | 0.890 | 0.838 | 0.762 | 0.049 | 0.897 |
| SegMaR | 0.815 | 0.753 | 0.071 | 0.874 | 0.833 | 0.724 | 0.034 | 0.899 | 0.841 | 0.781 | 0.046 | 0.896 |
| BSA-Net | 0.794 | 0.717 | 0.079 | 0.851 | 0.818 | 0.699 | 0.034 | 0.891 | 0.841 | 0.771 | 0.048 | 0.897 |
| SINet v2 | 0.820 | 0.743 | 0.070 | 0.882 | 0.815 | 0.680 | 0.037 | 0.887 | 0.847 | 0.770 | 0.048 | 0.903 |
| FAP-Net | 0.815 | 0.734 | 0.076 | 0.865 | 0.822 | 0.694 | 0.036 | 0.888 | 0.851 | 0.775 | 0.047 | 0.899 |
| BGNet | 0.812 | 0.749 | 0.073 | 0.870 | 0.831 | 0.722 | 0.033 | 0.901 | 0.851 | 0.788 | 0.044 | 0.907 |
| ZoomNet | 0.820 | 0.752 | 0.066 | 0.878 | 0.838 | 0.729 | 0.029 | 0.888 | 0.853 | 0.784 | 0.043 | 0.896 |
| FEDER | 0.802 | 0.738 | 0.071 | 0.867 | 0.822 | 0.716 | 0.032 | 0.901 | 0.847 | 0.789 | 0.044 | 0.907 |
| BFFFG | 0.835 | 0.775 | 0.065 | 0.886 | 0.842 | 0.739 | 0.029 | 0.905 | 0.862 | 0.801 | 0.041 | 0.911 |
| FSPNet | 0.856 | 0.799 | 0.050 | 0.899 | 0.851 | 0.735 | 0.026 | 0.924 | 0.879 | 0.816 | 0.035 | 0.915 |
| UEDG | 0.863 | 0.817 | 0.048 | 0.922 | 0.858 | 0.766 | 0.025 | 0.932 | 0.879 | 0.830 | 0.035 | 0.929 |
| MSCAF-Net | 0.873 | 0.828 | 0.046 | 0.929 | 0.865 | 0.775 | 0.024 | 0.927 | 0.887 | 0.838 | 0.032 | 0.934 |
| I2DNet | 0.884 | 0.840 | 0.042 | 0.936 | 0.867 | 0.774 | 0.023 | 0.929 | 0.889 | 0.840 | 0.032 | 0.936 |
| 算法 | CAMO | |||
|---|---|---|---|---|
| BEMF | 0.873 | 0.823 | 0.047 | 0.923 |
| BEMF+LEFB | 0.879 | 0.831 | 0.044 | 0.931 |
| BEMF+LEFB+ISM | 0.882 | 0.836 | 0.042 | 0.934 |
| BEMF+LEFB+ISM+MCD | 0.884 | 0.840 | 0.042 | 0.936 |
表2 本文算法中关键模块的消融实验结果
Tab. 2 Ablation experimental results of key modules in proposed algorithm
| 算法 | CAMO | |||
|---|---|---|---|---|
| BEMF | 0.873 | 0.823 | 0.047 | 0.923 |
| BEMF+LEFB | 0.879 | 0.831 | 0.044 | 0.931 |
| BEMF+LEFB+ISM | 0.882 | 0.836 | 0.042 | 0.934 |
| BEMF+LEFB+ISM+MCD | 0.884 | 0.840 | 0.042 | 0.936 |
| [1] | 黄啸,吴龙,黎尧,等. 基于改进YOLOX-s的轻量级型钢表面缺陷检测算法[J]. 计算机应用, 2023, 43(S2):201-208. |
| HUANG X, WU L, LI Y, et al. Lightweight steel surface defect detection algorithm based on improved YOLOX-s[J]. Journal of Computer Applications, 2023, 43(S2):201-208. | |
| [2] | 黄兆男. 基于偏振光谱成像的草地伪装物识别研究[J]. 材料科学, 2024, 14(6): 927-933. |
| HUANG Z N. Research on recognition of grassland forgeries based on polarization spectral imaging[J]. Material Sciences, 2024, 14(6): 927-933. | |
| [3] | 沈英,刘贤财,王舒,等. 基于偏振编码图像的低空伪装目标实时检测[J]. 兵工学报, 2024, 45(5): 1374-1383. |
| SHEN Y, LIU X C, WANG S, et al. Real-time detection of low-altitude camouflaged targets based on polarization encoded images[J]. Acta Armamentarii, 2024, 45(5): 1374-1383. | |
| [4] | FAN D P, JI G P, SUN G, et al. Camouflaged object detection[C]// Proceedings of the 2020 IEEE/CVF Conference on Computer Vision and Pattern Recognition. Piscataway: IEEE, 2020: 2774-2784. |
| [5] | MEI H, JI G P, WEI Z, et al. Camouflaged object segmentation with distraction mining[C]// Proceedings of the 2021 IEEE/CVF Conference on Computer Vision and Pattern Recognition. Piscataway: IEEE, 2021: 8768-8777. |
| [6] | PANG Y, ZHAO X, XIANG T Z, et al. Zoom in and out: a mixed-scale triplet network for camouflaged object detection[C]// Proceedings of the 2022 IEEE/CVF Conference on Computer Vision and Pattern Recognition. Piscataway: IEEE, 2022: 2150-2160. |
| [7] | CHEN T, XIAO J, HU X, et al. Boundary-guided network for camouflaged object detection[J]. Knowledge-Based Systems, 2022, 248: No.108901. |
| [8] | ZHU H, LI P, XIE H, et al. I can find you! boundary-guided separated attention network for camouflaged object detection[C]// Proceedings of the 36th AAAI Conference on Artificial Intelligence. Palo Alto: AAAI Press, 2022: 3608-3616. |
| [9] | HE C, LI K, ZHANG Y, et al. Camouflaged object detection with feature decomposition and edge reconstruction[C]// Proceedings of the 2023 IEEE/CVF Conference on Computer Vision and Pattern Recognition. Piscataway: IEEE, 2023: 22046-22055. |
| [10] | JIA Q, YAO S, LIU Y, et al. Segment, magnify and reiterate: detecting camouflaged objects the hard way[C]// Proceedings of the 2022 IEEE/CVF Conference on Computer Vision and Pattern Recognition. Piscataway: IEEE, 2022: 4703-4712. |
| [11] | CHEN S, TAN X, WANG B, et al. Reverse attention for salient object detection[C]// Proceedings of the 2018 European Conference on Computer Vision LNCS 11213. Cham: Springer, 2018: 236-252. |
| [12] | GAO S H, CHENG M M, ZHAO K, et al. Res2Net: a new multi-scale backbone architecture[J]. IEEE Transactions on Pattern Analysis and Machine Intelligence, 2021, 43(2): 652-662. |
| [13] | 陈永,郭红光,艾亚鹏. 基于多尺度卷积神经网络的单幅图像去雾方法[J]. 光学学报, 2019, 39(10): No.1010001. |
| CHEN Y, GUO H G, AI Y P. Single image dehazing method based on multi-scale convolution neural network[J]. Acta Optica Sinica, 2019, 39(10): No.1010001. | |
| [14] | 王璨,武新慧,李志伟. 基于卷积神经网络提取多尺度分层特征识别玉米杂草[J]. 农业工程学报, 2018, 34(5):144-151. |
| WANG C, WU X H, LI Z W. Recognition of maize and weed based on multi-scale hierarchical features extracted by convolutional neural network[J]. Transactions of the Chinese Society of Agricultural Engineering, 2018, 34(5): 144-151. | |
| [15] | 肖振久,张杰浩,林渤翰. 特征协同与细粒度感知的遥感图像小目标检测[J]. 光电工程, 2024, 51(6): No.240066. |
| XIAO Z J, ZHANG J H, LIN B H. Feature coordination and fine-grained perception of small targets in remote sensing images[J]. Opto-Electronic Engineering, 2024, 51(6): No.240066. | |
| [16] | SIMONYAN K, ZISSERMAN A. Very deep convolutional networks for large-scale image recognition[EB/OL]. [2024-04-12].. |
| [17] | SZEGEDY C, VANHOUCKE V, IOFFE S, et al. Rethinking the inception architecture for computer vision[C]// Proceedings of the 2016 IEEE Conference on Computer Vision and Pattern Recognition. Piscataway: IEEE, 2016: 2818-2826. |
| [18] | VASWANI A, SHAZEER N, PARMAR N, et al. Attention is all you need[C]// Proceedings of the 31st Conference on Neural Information Processing Systems. Red Hook: Curran Associates Inc., 2017: 6000-6010. |
| [19] | 李鸿天,史鑫昊,潘卫国,等. 融合多尺度和注意力机制的小样本目标检测[J]. 计算机应用, 2024, 44(5):1437-1444. |
| LI H T, SHI X H, PAN W G, et al. Few-shot object detection via fusing multi-scale and attention mechanism[J]. Journal of Computer Applications, 2024, 44(5): 1437-1444. | |
| [20] | SUTSKEVER I, VINYALS O, LE Q V. Sequence to sequence learning with neural networks[C]// Proceedings of the 28th International Conference on Neural Information Processing Systems — Volume 2. Cambridge: MIT Press, 2014: 3104-3112. |
| [21] | HU J, SHEN L, SUN G. Squeeze-and-excitation networks[C]// Proceedings of the 2018 IEEE/CVF Conference on Computer Vision and Pattern Recognition. Piscataway: IEEE, 2018: 7132-7141. |
| [22] | WANG W, XIE E, LI X, et al. PVT v2: improved baselines with pyramid vision Transformer[J]. Computational Visual Media, 2022, 8(3): 415-424. |
| [23] | CHEN Y, FAN H, XU B, et al. Drop an octave: reducing spatial redundancy in convolutional neural networks with octave convolution[C]// Proceedings of the 2019 IEEE/CVF International Conference on Computer Vision. Piscataway: IEEE, 2019: 3434-3443. |
| [24] | LeCUN Y, BOTTOU L, BENGIO Y, et al. Gradient-based learning applied to document recognition[J]. Proceedings of the IEEE, 1998, 86(11): 2278-2324. |
| [25] | DING X, GUO Y, DING G, et al. ACNet: strengthening the kernel skeletons for powerful CNN via asymmetric convolution blocks[C]// Proceedings of the 2019 IEEE/CVF International Conference on Computer Vision. Piscataway: IEEE, 2019: 1911-1920. |
| [26] | YU F, KOLTUN V. Multi-scale context aggregation by dilated convolutions[EB/OL]. [2024-01-13].. |
| [27] | SRIVASTAVA N, HINTON G, KRIZHEVSKY A, et al. Dropout: a simple way to prevent neural networks from overfitting[J]. Journal of Machine Learning Research, 2014, 15: 1929-1958. |
| [28] | RUBY A U, THEERTHAGIRI P, JACOB I J, et al. Binary cross entropy with deep learning technique for image classification[J]. International Journal of Advanced Trends in Computer Science and Engineering, 2020, 9(4): 5393-5397. |
| [29] | YU J, JIANG Y, WANG Z, et al. UnitBox: an advanced object detection network[C]// Proceedings of the 24th ACM International Conference on Multimedia. New York: ACM, 2016: 516-520. |
| [30] | KETKAR N, MOOLAYIL J. Introduction to PyTorch[M]// Deep learning with Python: learn best practices of deep learning models with PyTorch. Berkeley: Apress, 2021: 27-91. |
| [31] | KINGMA D P, BA J. Adam: a method for stochastic optimization[EB/OL]. [2024-01-13].. |
| [32] | LE T N, NGUYEN T V, NIE Z, et al. Anabranch network for camouflaged object segmentation[J]. Computer Vision and Image Understanding, 2019, 184: 45-56. |
| [33] | LV Y, ZHANG J, DAI Y, et al. Simultaneously localize, segment and rank the camouflaged objects[C]// Proceedings of the 2021 IEEE/CVF Conference on Computer Vision and Pattern Recognition. Piscataway: IEEE, 2021: 11586-11596. |
| [34] | FAN D P, CHENG M M, LIU Y, et al. Structure-measure: a new way to evaluate foreground maps[C]// Proceedings of the 2017 IEEE International Conference on Computer Vision. Piscataway: IEEE, 2017: 4558-4567. |
| [35] | MARGOLIN R, ZELNIK-MANOR L, TAL A. How to evaluate foreground maps[C]// Proceedings of the 2014 IEEE Conference on Computer Vision and Pattern Recognition. Piscataway: IEEE, 2014: 248-255. |
| [36] | PERAZZI F, KRÄHENBÜHL P, PRITCH Y, et al. Saliency filters: contrast based filtering for salient region detection[C]// Proceedings of the 2012 IEEE Conference on Computer Vision and Pattern Recognition. Piscataway: IEEE, 2012: 733-740. |
| [37] | FAN D P, GONG C, CAO Y, et al. Enhanced-alignment measure for binary foreground map evaluation[C]// Proceedings of the 27th International Joint Conference on Artificial Intelligence. California: ijcai.org, 2018: 698-704. |
| [38] | ZHAI Q, LI X, YANG F, et al. MGL: mutual graph learning for camouflaged object detection[J]. IEEE Transactions on Image Processing, 2023, 32: 1897-1910. |
| [39] | CHEN G, LIU S J, SUN Y J, et al. Camouflaged object detection via context-aware cross-level fusion[J]. IEEE Transactions on Circuits and Systems for Video Technology, 2022, 32(10): 6981-6993. |
| [40] | FAN D P, JI G P, CHENG M M, et al. Concealed object detection[J]. IEEE Transactions on Pattern Analysis and Machine Intelligence, 2022, 44(10): 6024-6042. |
| [41] | ZHOU T, ZHOU Y, GONG C, et al. Feature aggregation and propagation network for camouflaged object detection[J]. IEEE Transactions on Image Processing, 2022, 31: 7036-7047. |
| [42] | 刘文犀,张家榜,李悦洲,等. 基于边界特征融合和前景引导的伪装目标检测[J]. 电子学报, 2024, 52(7): 2279-2290. |
| LIU W X, ZHANG J B, LI Y Z, et al. Boundary feature fusion and foreground guidance for camouflaged object detection[J]. Acta Electronica Sinica, 2024, 52(7): 2279-2290. | |
| [43] | HUANG Z, DAI H, XIANG T Z, et al. Feature shrinkage pyramid for camouflaged object detection with Transformers[C]// Proceedings of the 2023 IEEE/CVF Conference on Computer Vision and Pattern Recognition. Piscataway: IEEE, 2023: 5557-5566. |
| [44] | LYU Y, ZHANG H, LI Y, et al. UEDG: uncertainty-edge dual guided camouflage object detection[J]. IEEE Transactions on Multimedia, 2024, 26: 4050-4060. |
| [45] | LIU Y, LI H, CHENG J, et al. MSCAF-Net: a general framework for camouflaged object detection via learning multi-scale context-aware features[J]. IEEE Transactions on Circuits and Systems for Video Technology, 2023, 33(9): 4934-4947. |
| [1] | 李维刚, 邵佳乐, 田志强. 基于双注意力机制和多尺度融合的点云分类与分割网络[J]. 《计算机应用》唯一官方网站, 2025, 45(9): 3003-3010. |
| [2] | 王翔, 陈志祥, 毛国君. 融合局部和全局相关性的多变量时间序列预测方法[J]. 《计算机应用》唯一官方网站, 2025, 45(9): 2806-2816. |
| [3] | 邓伊琳, 余发江. 基于LSTM和可分离自注意力机制的伪随机数生成器[J]. 《计算机应用》唯一官方网站, 2025, 45(9): 2893-2901. |
| [4] | 吕景刚, 彭绍睿, 高硕, 周金. 复频域注意力和多尺度频域增强驱动的语音增强网络[J]. 《计算机应用》唯一官方网站, 2025, 45(9): 2957-2965. |
| [5] | 敬超, 全育涛, 陈艳. 基于多层感知机-注意力模型的功耗预测算法[J]. 《计算机应用》唯一官方网站, 2025, 45(8): 2646-2655. |
| [6] | 林进浩, 罗川, 李天瑞, 陈红梅. 基于跨尺度注意力网络的胸部疾病分类方法[J]. 《计算机应用》唯一官方网站, 2025, 45(8): 2712-2719. |
| [7] | 吴海峰, 陶丽青, 程玉胜. 集成特征注意力和残差连接的偏标签回归算法[J]. 《计算机应用》唯一官方网站, 2025, 45(8): 2530-2536. |
| [8] | 周金, 李玉芝, 张徐, 高硕, 张立, 盛家川. 复杂电磁环境下的调制识别网络[J]. 《计算机应用》唯一官方网站, 2025, 45(8): 2672-2682. |
| [9] | 王艺涵, 路翀, 陈忠源. 跨模态文本信息增强的多模态情感分析模型[J]. 《计算机应用》唯一官方网站, 2025, 45(7): 2237-2244. |
| [10] | 刘皓宇, 孔鹏伟, 王耀力, 常青. 基于多视角信息的行人检测算法[J]. 《计算机应用》唯一官方网站, 2025, 45(7): 2325-2332. |
| [11] | 赵小强, 柳勇勇, 惠永永, 刘凯. 基于改进时域卷积网络与多头自注意力机制的间歇过程质量预测模型[J]. 《计算机应用》唯一官方网站, 2025, 45(7): 2245-2252. |
| [12] | 王慧斌, 胡展傲, 胡节, 徐袁伟, 文博. 基于分段注意力机制的时间序列预测模型[J]. 《计算机应用》唯一官方网站, 2025, 45(7): 2262-2268. |
| [13] | 梁辰, 王奕森, 魏强, 杜江. 基于Tsransformer-GCN的源代码漏洞检测方法[J]. 《计算机应用》唯一官方网站, 2025, 45(7): 2296-2303. |
| [14] | 翟社平, 黄妍, 杨晴, 杨锐. 融合三元组和文本属性的多视图实体对齐[J]. 《计算机应用》唯一官方网站, 2025, 45(6): 1793-1800. |
| [15] | 王向, 崔倩倩, 张晓明, 王建超, 王震洲, 宋佳霖. 改进ConvNeXt的无线胶囊内镜图像分类模型[J]. 《计算机应用》唯一官方网站, 2025, 45(6): 2016-2024. |
| 阅读次数 | ||||||
|
全文 |
|
|||||
|
摘要 |
|
|||||