《计算机应用》唯一官方网站 ›› 2026, Vol. 46 ›› Issue (3): 940-949.DOI: 10.11772/j.issn.1001-9081.2025030368
收稿日期:2025-04-07
修回日期:2025-06-16
接受日期:2025-06-25
发布日期:2025-07-15
出版日期:2026-03-10
通讯作者:
张健
作者简介:于剑波(2001—),男,江苏盐城人,硕士研究生,CCF会员,主要研究方向:机器学习、图像分类基金资助:
Jian ZHANG1(
), Jianbo YU1, Jian TANG2
Received:2025-04-07
Revised:2025-06-16
Accepted:2025-06-25
Online:2025-07-15
Published:2026-03-10
Contact:
Jian ZHANG
About author:YU Jianbo, born in 2001, M. S. candidate. His research interests include machine learning, image classification.Supported by:摘要:
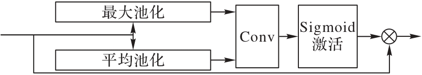
由于国内城市固废焚烧(MSWI)过程的火焰图像具有强污染、高噪声和曝光度过高等问题,传统目标识别方法难以适用。因此,提出一种MSWI焚烧图像分类框架——基于多层预处理的SAswin网络(SAswin-MPNet)。首先,设计基于Transformer的混合注意力超分辨率重建(HASRT)模块对图像进行超分辨率的重建处理;其次,引入实用曝光校正(PEC)模块对高分辨率MSWI图像进行曝光度校正,从而获得多层预处理数据;此外,设计检验算法将预处理后的图像与原图像进行对照检验,将达到检验阈值的图像替换原图像,从而获得多层预处理数据集;最后,构建SAswin分类网络以识别燃烧状态。基于某MSWI电厂实际运行数据与ResNet-34、ResNet-50、ConvNeXt、ViT(Vision Transformer)、Swin-T(Swin-Tiny)和EVA-02(Enhanced Visual Assistant-02)进行对比的实验结果表明,SAswin-MPNet的MSWI图像燃烧状态识别的准确率与F1分数取得了最优结果。
中图分类号:
张健, 于剑波, 汤健. 基于多层预处理的城市固废焚烧状态识别方法[J]. 计算机应用, 2026, 46(3): 940-949.
Jian ZHANG, Jianbo YU, Jian TANG. Municipal solid waste incineration state recognition method based on multilayer preprocessing[J]. Journal of Computer Applications, 2026, 46(3): 940-949.
| 来源 | 样本数 | 总样本数 | |||
|---|---|---|---|---|---|
| 正常 | 窜烧 | 偏烧 | 闷烧 | ||
| 左炉排 | 655 | 1 044 | 1 176 | 414 | 3 289 |
| 右炉排 | 564 | 534 | 1 002 | 585 | 2 685 |
表1 MSWI燃烧状态图像数据集统计信息
Tab. 1 Statistics of MSWI incineration state image dataset
| 来源 | 样本数 | 总样本数 | |||
|---|---|---|---|---|---|
| 正常 | 窜烧 | 偏烧 | 闷烧 | ||
| 左炉排 | 655 | 1 044 | 1 176 | 414 | 3 289 |
| 右炉排 | 564 | 534 | 1 002 | 585 | 2 685 |
| 数据集 | 方法 | 无预训练权重 | 有预训练权重 | ||
|---|---|---|---|---|---|
| F1分数 | 准确率 | F1分数 | 准确率 | ||
| 左炉数据 | ResNet-34 | 94.32 | 94.89 | 94.66 | 95.10 |
| ResNet-50 | 93.71 | 94.38 | 94.02 | 94.68 | |
| ConvNeXt | 94.34 | 94.98 | 94.68 | 95.20 | |
| ViT | 93.86 | 94.47 | 94.78 | 95.32 | |
| Swin-T | 93.88 | 94.50 | 95.20 | 95.65 | |
| EVA-02 | 94.79 | 95.23 | 95.53 | 95.87 | |
| SAswin-MPNet | 95.33 | 95.80 | 95.65 | 96.14 | |
| 右炉数据 | ResNet-34 | 94.33 | 94.53 | 95.15 | 95.31 |
| ResNet-50 | 94.45 | 94.64 | 94.68 | 94.82 | |
| ConvNeXt | 95.03 | 95.23 | 95.38 | 95.49 | |
| ViT | 94.06 | 94.26 | 95.32 | 95.53 | |
| Swin-T | 94.69 | 94.86 | 95.65 | 95.83 | |
| EVA-02 | 95.39 | 95.53 | 95.79 | 95.94 | |
| SAswin-MPNet | 95.97 | 96.09 | 96.10 | 96.28 | |
表2 采用不同方法对左炉和右炉数据集进行分类的结果 (%)
Tab. 2 Classification results of left furnace and right furnace datasets using different methods
| 数据集 | 方法 | 无预训练权重 | 有预训练权重 | ||
|---|---|---|---|---|---|
| F1分数 | 准确率 | F1分数 | 准确率 | ||
| 左炉数据 | ResNet-34 | 94.32 | 94.89 | 94.66 | 95.10 |
| ResNet-50 | 93.71 | 94.38 | 94.02 | 94.68 | |
| ConvNeXt | 94.34 | 94.98 | 94.68 | 95.20 | |
| ViT | 93.86 | 94.47 | 94.78 | 95.32 | |
| Swin-T | 93.88 | 94.50 | 95.20 | 95.65 | |
| EVA-02 | 94.79 | 95.23 | 95.53 | 95.87 | |
| SAswin-MPNet | 95.33 | 95.80 | 95.65 | 96.14 | |
| 右炉数据 | ResNet-34 | 94.33 | 94.53 | 95.15 | 95.31 |
| ResNet-50 | 94.45 | 94.64 | 94.68 | 94.82 | |
| ConvNeXt | 95.03 | 95.23 | 95.38 | 95.49 | |
| ViT | 94.06 | 94.26 | 95.32 | 95.53 | |
| Swin-T | 94.69 | 94.86 | 95.65 | 95.83 | |
| EVA-02 | 95.39 | 95.53 | 95.79 | 95.94 | |
| SAswin-MPNet | 95.97 | 96.09 | 96.10 | 96.28 | |
| 模型 | 类别 | 精确率 | 召回率 | 特异度 | F1分数 | 准确率 |
|---|---|---|---|---|---|---|
| ConvNeXt | 正常 | 93.08 | 94.91 | 98.19 | 93.99 | — |
| 偏烧 | 97.11 | 94.26 | 98.39 | 95.67 | — | |
| 窜烧 | 95.14 | 94.23 | 98.27 | 94.68 | — | |
| 闷烧 | 90.32 | 95.30 | 97.95 | 92.74 | — | |
| 整体 | 93.91 | 94.68 | 98.20 | 94.27 | 94.56 | |
| EVA-02 | 正常 | 94.33 | 95.57 | 98.53 | 94.95 | — |
| 偏烧 | 97.28 | 95.13 | 98.47 | 96.19 | — | |
| 窜烧 | 96.04 | 95.37 | 98.59 | 95.71 | — | |
| 闷烧 | 91.94 | 95.90 | 98.31 | 93.88 | — | |
| 整体 | 94.90 | 95.49 | 98.48 | 95.18 | 95.41 | |
| SAswin-MPNet | 正常 | 95.03 | 95.65 | 98.72 | 95.34 | — |
| 偏烧 | 97.44 | 96.28 | 98.55 | 96.86 | — | |
| 窜烧 | 96.47 | 95.37 | 98.75 | 95.92 | — | |
| 闷烧 | 93.24 | 96.60 | 98.59 | 94.89 | — | |
| 整体 | 95.55 | 95.98 | 98.65 | 95.75 | 95.97 |
表3 使用ConvNeXt、EVA-02和SAswin-MPNet对MSWI图像进行分类的详细结果 (%)
Tab. 3 Detailed results for MSWI image classification using ConvNeXt, EVA-02, and SAswin-MPNet
| 模型 | 类别 | 精确率 | 召回率 | 特异度 | F1分数 | 准确率 |
|---|---|---|---|---|---|---|
| ConvNeXt | 正常 | 93.08 | 94.91 | 98.19 | 93.99 | — |
| 偏烧 | 97.11 | 94.26 | 98.39 | 95.67 | — | |
| 窜烧 | 95.14 | 94.23 | 98.27 | 94.68 | — | |
| 闷烧 | 90.32 | 95.30 | 97.95 | 92.74 | — | |
| 整体 | 93.91 | 94.68 | 98.20 | 94.27 | 94.56 | |
| EVA-02 | 正常 | 94.33 | 95.57 | 98.53 | 94.95 | — |
| 偏烧 | 97.28 | 95.13 | 98.47 | 96.19 | — | |
| 窜烧 | 96.04 | 95.37 | 98.59 | 95.71 | — | |
| 闷烧 | 91.94 | 95.90 | 98.31 | 93.88 | — | |
| 整体 | 94.90 | 95.49 | 98.48 | 95.18 | 95.41 | |
| SAswin-MPNet | 正常 | 95.03 | 95.65 | 98.72 | 95.34 | — |
| 偏烧 | 97.44 | 96.28 | 98.55 | 96.86 | — | |
| 窜烧 | 96.47 | 95.37 | 98.75 | 95.92 | — | |
| 闷烧 | 93.24 | 96.60 | 98.59 | 94.89 | — | |
| 整体 | 95.55 | 95.98 | 98.65 | 95.75 | 95.97 |
| 方法 | HASRT | PEC | 预处理筛选模块 | 预训练 | 精确率/% | 召回率/% | 特异度/% | F1分数/% | 用时/s | 准确率/% |
|---|---|---|---|---|---|---|---|---|---|---|
| SAswin | × | × | × | × | 94.32 | 94.99 | 98.31 | 94.64 | 0.183 | 94.89 |
| SAswin+HASRT | √ | × | × | × | 94.60 | 95.21 | 98.42 | 94.89 | 18.831 | 95.21 |
| SAswin+PEC | × | √ | × | × | 94.66 | 95.13 | 98.37 | 94.85 | 0.325 | 95.12 |
| SAswin+HASRT+PEC | √ | √ | × | × | 95.15 | 95.55 | 98.55 | 95.34 | 19.323 | 95.63 |
| SAswin-MPNet | √ | √ | √ | × | 95.54 | 95.97 | 98.66 | 95.75 | 19.477 | 95.97 |
| √ | √ | √ | √ | 95.65 | 96.11 | 98.70 | 95.87 | 19.465 | 96.08 |
表4 消融实验结果
Tab. 4 Results of ablation experiments
| 方法 | HASRT | PEC | 预处理筛选模块 | 预训练 | 精确率/% | 召回率/% | 特异度/% | F1分数/% | 用时/s | 准确率/% |
|---|---|---|---|---|---|---|---|---|---|---|
| SAswin | × | × | × | × | 94.32 | 94.99 | 98.31 | 94.64 | 0.183 | 94.89 |
| SAswin+HASRT | √ | × | × | × | 94.60 | 95.21 | 98.42 | 94.89 | 18.831 | 95.21 |
| SAswin+PEC | × | √ | × | × | 94.66 | 95.13 | 98.37 | 94.85 | 0.325 | 95.12 |
| SAswin+HASRT+PEC | √ | √ | × | × | 95.15 | 95.55 | 98.55 | 95.34 | 19.323 | 95.63 |
| SAswin-MPNet | √ | √ | √ | × | 95.54 | 95.97 | 98.66 | 95.75 | 19.477 | 95.97 |
| √ | √ | √ | √ | 95.65 | 96.11 | 98.70 | 95.87 | 19.465 | 96.08 |
| [1] | 乔俊飞,郭子豪,汤健. 面向城市固废焚烧过程的二噁英排放浓度检测方法综述[J]. 自动化学报, 2020, 46(6): 1063-1089. |
| QIAO J F, GUO Z H, TANG J. Dioxin emission concentration measurement approaches for municipal solid wastes incineration process: a survey [J]. Acta Automatica Sinica, 2020, 46(6): 1063-1089. | |
| [2] | MENG X, TANG J, QIAO J. NOx emissions prediction with a brain-inspired modular neural network in municipal solid waste incineration processes [J]. IEEE Transactions on Industrial Informatics, 2022, 18(7): 4622-4631. |
| [3] | QIAO J, CUI Y, MENG X. Dynamic multi-objective operation optimization of municipal solid waste incineration process based on transfer learning [J]. IEEE Transactions on Automation Science and Engineering, 2025, 22: 9338-9352. |
| [4] | LU J W, ZHANG S, HAI J, et al. Status and perspectives of municipal solid waste incineration in China: a comparison with developed regions [J]. Waste Management, 2017, 69: 170-186. |
| [5] | NZIHOU A, THEMELIS N J, KEMIHA M, et al. Dioxin emissions from Municipal Solid Waste Incinerators (MSWIs) in France [J]. Waste Management, 2012, 32(12): 2273-2277. |
| [6] | KOLEKAR K A, HAZRA T, CHAKRABARTY S N. A review on prediction of municipal solid waste generation models [J]. Procedia Environmental Sciences, 2016, 35: 238-244. |
| [7] | YIN C, ROSENDAHL L, KÆR K, et al. Mathematical modeling and experimental study of biomass combustion in a thermal 108 MW grate-fired boiler[J]. Energy and Fuels, 2008, 22(2): 1380-1390. |
| [8] | LI K, DENG J, ZHU Y, et al. Utilization of municipal solid waste incineration fly ash with different pretreatments with gold tailings and coal fly ash for environmentally friendly geopolymers [J]. Waste Management, 2025, 194: 342-352. |
| [9] | TANG J, WANG T, XIA H, et al. An overview of artificial intelligence application for optimal control of municipal solid waste incineration process [J]. Sustainability, 2024, 16(5): No.2042. |
| [10] | KHAN A, SOHAIL A, ZAHOORA U, et al. A survey of the recent architectures of deep convolutional neural networks [J]. Artificial Intelligence Review, 2020, 53(8): 5455-5516. |
| [11] | YANG W, TANG J, XIA H, et al. Combustion status recognition of MSWI process based on flame image by using YOLOv5 [C]// Proceedings of the 36th Chinese Control and Decision Conference. Piscataway: IEEE, 2024: 2363-2368. |
| [12] | ZHANG J, YU J, YU G, et al. An image classification algorithm for MSWI based on ResNet and attention mechanism [C]// Proceedings of the 36th Chinese Control and Decision Conference. Piscataway: IEEE, 2024: 1725-1730. |
| [13] | YAN A, HU K, WANG D. Monitoring model based on data-driven optimization stochastic configuration network and its applications [J]. IEEE Sensors Journal, 2025, 25(6): 10087-10096. |
| [14] | 郭海涛,汤健,丁海旭,等. 基于混合数据增强的MSWI过程燃烧状态识别[J]. 自动化学报, 2024, 50(3): 560-575. |
| GUO H T, TANG J, DING H X, et al. Combustion states recognition method of MSWI process based on mixed data enhancement [J]. Acta Automatica Sinica, 2024, 50(3): 560-575. | |
| [15] | 汤健,郭海涛,夏恒,等. 面向工业过程的图像生成及其应用研究综述[J]. 自动化学报, 2024, 50(2): 211-240. |
| TANG J, GUO H T, XIA H, et al. Image generation and its application research for industrial process: a survey [J]. Acta Automatica Sinica, 2024, 50(2): 211-240. | |
| [16] | ZHOU H, TANG Y. An enhanced spatial depth convolution and super-resolution image reconstruction algorithm for Beidou robot fire monitoring [C]// Proceedings of the 5th International Conference on Computer Engineering and Application. Piscataway: IEEE, 2024: 975-980. |
| [17] | CHEN X, WANG X, ZHOU J, et al. Activating more pixels in image super-resolution Transformer [C]// Proceedings of the 2023 IEEE/CVF Conference on Computer Vision and Pattern Recognition. Piscataway: IEEE, 2023: 22367-22377. |
| [18] | LIU Z, LIN Y, CAO Y, et al. Swin Transformer: hierarchical Vision Transformer using shifted windows [C]// Proceedings of the 2021 IEEE/CVF International Conference on Computer Vision. Piscataway: IEEE, 2021: 9992-10002. |
| [19] | VASWANI A, SHAZEER N, PARMAR N, et al. Attention is all you need [C]// Proceedings of the 31st Conference on Neural Information Processing Systems. Red Hook: Curran Associates Inc., 2017: 6000-6010. |
| [20] | ZHAO Y, WANG G, TANG C, et al. A battle of network structures: An empirical study of CNN, Transformer, and MLP[EB/OL]. [2025-02-14].. |
| [21] | XIAO T, SINGH M, MINTUN E, et al. Early convolutions help Transformers see better [C]// Proceedings of the 35th International Conference on Neural Information Processing Systems. Red Hook: Curran Associates Inc., 2021: 30392-30400. |
| [22] | YUAN K, GUO S, LIU Z, et al. Incorporating convolution designs into Visual Transformers [C]// Proceedings of the 2021 IEEE/CVF International Conference on Computer Vision. Piscataway: IEEE, 2021: 559-568. |
| [23] | ZU B, CAO T, LI Y, et al. SwinT-SRNet: a classification network based on Swin Transformer backbone [J]. Engineering Applications of Artificial Intelligence, 2024, 133: No.108041. |
| [24] | SUN D, LU G, ZHOU H, et al. Quantitative assessment of flame stability through image processing and spectral analysis [J]. IEEE Transactions on Instrumentation and Measurement, 2015, 64(12): 3323-3333. |
| [25] | AFIFI M, DERPANIS K, OMMER B, et al. Learning multi-scale Photo exposure correction [C]// Proceedings of the 2021 IEEE/CVF Conference on Computer Vision and Pattern Recognition. Piscataway: IEEE, 2021: 9153-9163. |
| [26] | MA L, MA T, XUE X, et al. Practical exposure correction: great truths are always simple [EB/OL]. [2025-02-15].. |
| [27] | SHI W, CABALLERO J, HUSZÁR F, et al. Real-time single image and video super-resolution using an efficient sub-pixel convolutional neural network [C]// Proceedings of the 2016 IEEE Conference on Computer Vision and Pattern Recognition. Piscataway: IEEE, 2016: 1874-1883. |
| [28] | HENDRYCKS D, GIMPEL K. Gaussian Error Linear Units (GELUs)[EB/OL]. [2025-01-14].. |
| [29] | WOO S, PARK J, LEE J Y, et al. CBAM: convolutional block attention module [C]// Proceedings of the 2018 European Conference on Computer Vision, LNCS 11211. Cham: Springer, 2018: 3-19. |
| [30] | PAN X, TANG J, XIA H, et al. Construction of flame image classification criteria and reference database for municipal solid waste incineration process [C]// Proceedings of the 35th Chinese Control and Decision Conference. Piscataway: IEEE, 2023: 343-348. |
| [31] | HE K, ZHANG X, REN S, et al. Deep residual learning for image recognition [C]// Proceedings of the 2016 IEEE Conference on Computer Vision and Pattern Recognition. Piscataway: IEEE, 2016: 770-778. |
| [32] | LIU Z, MAO H, WU C Y, et al. A ConvNet for the 2020s [C]// Proceedings of the 2022 IEEE/CVF Conference on Computer Vision and Pattern Recognition. Piscataway: IEEE, 2022: 11966-11976. |
| [33] | DOSOVITSKIY A, BEYER L, KOLESIKOV A, et al. An image is worth 16x16 words: Transformers for image recognition at scale[EB/OL]. [2025-02-25].. |
| [34] | FANG Y, SUN Q, WANG X, et al. EVA-02: a visual representation for neon genesis [J]. Image and Vision Computing, 2024, 149: No.105171. |
| [35] | PAN X, TANG J, XIA H, et al. Online combustion status recognition of municipal solid waste incineration process using DFC based on convolutional multi-layer feature fusion [J]. Sustainability, 2023, 15(23): No.16473. |
| [1] | 姜勇维, 陈晓清, 付麟杰. 基于频谱分解的高频保持医学图像弹性配准模型[J]. 《计算机应用》唯一官方网站, 2026, 46(3): 924-932. |
| [2] | 余松森, 何皇, 薛国鹏, 崔恒拓. 基于改进FENet的瓷砖色差量化分级方法[J]. 《计算机应用》唯一官方网站, 2026, 46(3): 959-968. |
| [3] | 郭纪新, 张婷. 基于组件协同优化剪枝的Transformer图像去雾[J]. 《计算机应用》唯一官方网站, 2026, 46(3): 933-939. |
| [4] | 黄萍, 李清, 邱海枫, 王程斯, 黄安子, 樊龙. 轻量化输电线路缺陷检测方法[J]. 《计算机应用》唯一官方网站, 2026, 46(3): 969-979. |
| [5] | 刘汉卿, 桑国明, 张益嘉. 结合密集多尺度特征融合和特征知识增强Transformer的遥感图像描述模型[J]. 《计算机应用》唯一官方网站, 2026, 46(3): 741-749. |
| [6] | 陈敏, 秦小林, 李绍涵, 杨昊, 李韬弘. 深度学习应用于强对流天气预测的综述[J]. 《计算机应用》唯一官方网站, 2026, 46(3): 980-992. |
| [7] | 韩锋, 卜永丰, 梁浩翔, 黄舒雯, 张朝阳, 孙士杰. 基于多层次时空交互依赖的车辆轨迹异常检测[J]. 《计算机应用》唯一官方网站, 2026, 46(2): 604-612. |
| [8] | 李名, 王孟齐, 张爱丽, 任花, 窦育强. 基于条件生成对抗网络和混合注意力机制的图像隐写方法[J]. 《计算机应用》唯一官方网站, 2026, 46(2): 475-484. |
| [9] | 曹杰, 谢凌锋, 王丙金, 张昌河, 余紫东, 邓超. 考虑类不平衡和背景多样性问题的青少年脊柱侧弯筛查方法[J]. 《计算机应用》唯一官方网站, 2026, 46(2): 630-639. |
| [10] | 郭泽一, 李凤莲, 徐利春. 基于双重决策机制的深度符号回归算法[J]. 《计算机应用》唯一官方网站, 2026, 46(2): 406-415. |
| [11] | 崔克俭, 王志明, 邱兆文. 基于光学相干断层扫描血管成像的视网膜血管分割与冠心病预测方法[J]. 《计算机应用》唯一官方网站, 2026, 46(2): 640-651. |
| [12] | 姜皓骞, 张东, 李冠宇, 陈恒. 基于结构增强的层次化任务导向提示策略的对话推荐系统SetaCRS[J]. 《计算机应用》唯一官方网站, 2026, 46(2): 368-377. |
| [13] | 付锦程, 杨仕友. 基于贝叶斯优化和特征融合混合模型的短期风电功率预测[J]. 《计算机应用》唯一官方网站, 2026, 46(2): 652-658. |
| [14] | 陈晓雷, 郑芷薇, 黄雪, 曲振彬. 结合球面对齐与自适应几何校正的全景视频超分辨率网络[J]. 《计算机应用》唯一官方网站, 2026, 46(2): 528-535. |
| [15] | 刘权捷, 顾兆一, 王春源. 复杂光照条件下的不安全驾驶行为检测[J]. 《计算机应用》唯一官方网站, 2026, 46(2): 613-619. |
| 阅读次数 | ||||||
|
全文 |
|
|||||
|
摘要 |
|
|||||